明慧网 2014年05月24日 星期六 全部文章

要获取每日的全部图片,请到图片网的"最新图片"栏目(http://photo.minghui.org/

  • 世界法轮大法日讲法

  • 法警方干涉集会 巴黎行政法庭判法国法轮大法协会胜诉

  • 让更多的人知道法轮大法好

  • 公主岭监狱利用“精神病号”迫害法轮功学员

  • 公主岭市七旬老人王胜被踢打致大腿骨折

  • 保定顺平县法院人员枉法构陷刘惠云

  • 中学教师又遭绑架 患病家人无所依

  • 湖北省黄梅县法轮功学员袁记余被绑架

  • 广东副处级干部颜明霞博士被绑架

  • 云南法轮功学员马燕被国保警察诱骗绑架经过

  • 新疆阿克苏地区非法组织“610”的罪恶

  • 曝光大连瓦房店市穿着警服的黑老大侯俊

  • 发生在老母亲身上的变化

  • 辽宁东港国保恶警王元军、徐永和遭恶报

  • 耐心讲真相 善心唤良知

  • 师父安排有缘人听真相

  • 带着小孙女讲真相

  • 就在那一刹那间

  • 帮助老年同修闯病业关

  • 记一次过关

  • 象棋高手退党记

  • 正念闯出派出所

  • 文史漫谈:何处不可行教化

  • 二零一四年五月二十四日大陆综合消息

  • 112人声明从新开始修炼

  • 文史漫谈:义以为上

  • 油画:正念

  • 水粉画:珍重

  • 绘画:藏字石示天意

  • 歌曲:送福音

  • 笛子独奏:真相广传满人间

  • 陶艺:莲

  • 布贴画:净莲

  • 明慧地方期刊(四川省、成都市、重庆市、广州市、河南省、武汉市、湖北省、廊坊市、伊春市、本溪市、牡丹江市、朝阳市、鹤岗市、湖南省、随州市、茂名市、双鸭山市、天津市、连云港市、大连市、齐齐哈尔市、合肥市)



  • 世界法轮大法日讲法

    二零一四年纽约法会讲法
    (李洪志,二零一四年五月十三日)

      (全场大法弟子起立,热烈鼓掌恭迎师父。师父合十,挥手示意大家坐下。)
      大家好!(众弟子:师父好!)(众弟子热烈鼓掌)大家辛苦了!(众弟子:师父辛苦了!)从大陆也来了一部份大法弟子。无论是国际上还是中国大陆,正法形势是一样的。整个的進程,看上去是无序的,实际上是非常有序的。
      过去我讲过,在这场迫害中旧势力的目地,它是想要通过这场迫害使大法弟子放弃人的执着,同时在这场严酷的考验下能够走过来的它们才承认你修炼圆满,这就是它们安排的。本质上师父不承认它这东西,我是用善解一切的做法,现在是被它们干扰了采取的做法。
      但是从个人修炼上来讲,这次传法中,修炼的大门都打开了,有很多是这一次才進来成为大法弟子的,就是过去我讲的第三批進来的这些学员,在历史过程中没有系统的消过业。以前随师父下来的、在不同历史时期跟师父结过缘的,这样的每一生、每一世都会把业力消净再转生。可是,这一次進来的就没有在历史上做过那些事情,是带着大量的业力的。人在世间就会造业,生生世世就会存下很多业力。那大家想一想,作为一个修炼人,能这样就圆满了吗?不行的。耶稣不是讲了,人是有罪的。不管怎么去理解,其实人活着就会造业。得把自己洗净,在修炼中全部业力都修没了达到了纯净的成度,那才能圆满。
      我不承认旧势力这个东西,可是在个人修炼上,你们得去修、得去努力。就从这个角度上讲,大家想一想,从九九年“七•二零”中共对大法弟子迫害以后,真的是看到了很多人心的表现。迫害中不坚定的人因此退下去了,有的甚至于现在还不敢走出来。目前形势变化很大,觉的宽松一些了,有的人也大胆起来了,有的人也走回来了。那么在这个过程中真是看到各种各样的人心都反映出来了。盼望着迫害早日结束是愿望,揭露它、正念对待迫害这是大法弟子应该做的,但是有一些人想找一个避开迫害的地方,去过一个安静、舒适的生活,对迫害的理解也是各种各样。不管怎么样吧,各种各样的人心真的是在这一场严酷的迫害中都体现出来了。
      那么从这一点上讲,我们很多人表现的真是很差。旧势力它抓住了把柄,说:“你看看吧,这是你弟子吗?你想要他,我们帮助你把他的执着心去掉。这样的人能上天吗?你看看各种各样的执着心都反映出来了。”在最严酷的迫害中,还有人传什么小道消息,表现着显示心,各种各样的人心,加剧了这场迫害的残酷。你心一动,旧势力就利用警察来敲门了,邪恶就来找你了。
      国际社会的情况也是一样,迫害当初多么严酷!各种各样的压力,包括国际社会上的压力都很大。那个时候大法弟子没有发言的地方,全中国的媒体都被中共邪党控制着一言堂打压。国际社会不知道法轮功是怎么回事,所有全世界的媒体都在转载中共邪党打压的谎言报道。大家想一想,这种迫害等于是全世界所有的媒体铺天盖地的打压。顶着这么大的压力,国际社会的学员当时也反映出他们各种各样的人心,因此掉下去的很多。最后能够走过来的,真的是了不起,神都觉的你们了不起。对神来讲,因为你们是在人的环境中,这种差别太大了,所以佩服你们。
      本来生命在宇宙的各个环境中都是美好的,不象人这么险恶与苦,敢于到人这来就了不起。因为人的理都是反的,好的坏的都是反的,所以人活着就会造业。就是因为人在这个反理中生存,天上的生命谁也不敢接近这里,来了就更了不起。能够从这场迫害中走过来的,那神真的是很佩服。天上生命存在的方式和人这儿的生命对比,就会看到敢来的真了不起。
      现在这个人类社会的人,不能说全部,绝大多数都是天上来的,巨大遥远的不同宇宙、不同境界、不同方位,来到这里要得法。一旦转生下来,谁也不知道自己从哪里来了。因为人类社会就是个迷,你進到这里来,你就等于跳到迷中来了。跳到迷中来了才能修炼,跳到迷中来了在这个险恶又苦的环境中你还能升起正念来,你还知道去修炼,大法洪传了你能够助师正法,还能在魔难中去救度别人,这就太了不起了。这问题就这么看,所以说,我讲能够从“七•二零”走过来,你就了不起。
      当然了,磕磕碰碰的,经常摔跟头,这件事情做好了,那件事情没做好,这都是修炼过程中的事情。只要你能够坚持走过来,你就了不起。你能够做大法弟子该做的事情,你就了不起。就是这么看。真的是什么问题都没有,做的都很好,一路闯过来的,有,太少了,简直就是太了不起了,但问题是不都这样。修炼嘛,谁不犯错误?就包括在这场迫害中,有的人可能犯的错误大一点,有的人可能犯的错误小一点。但是你能够醒悟,能够在错误中自责,能够找出自己的问题,从新再走好,这就是在修炼。
      有的人摔了个跟头,就再也爬不起来,而且从此以后破罐子破摔了,甚至走向反面。还有一部份人在大法这得到了一些法理,以前对宗教、信仰、修炼也不懂,从大法这知道了神、佛、修炼这些事,迫害中为了怕心,使自己逃避,跑到其它宗教里去了。带着怕心跑到哪去都不能使你圆满,什么心都是执着。
      当然了,大法修炼又不象过去那种修炼方式,过去要求人在修炼中绝对去掉所有人心。因为大法弟子还要在常人中修炼,还留有一部份常人中的东西,保证能够在常人中生活的这种思想、行为,同时也是为了保证能够在这个环境中助师正法、在这个环境中救度众生。都跑庙里去了,都钻到山洞里去了,世上的人都是为大法来的,谁来救他们?
      什么叫大法弟子?师父教的就是你们这些大法弟子。洗净你们,把你们锻炼成熟,使你们能够去救度众生。这就是大法弟子。大法弟子的称号与过去常人社会中那种个人修炼、个人圆满完全不是一回事,他没有救度众生的责任,他只是个人圆满。大法弟子将来成就的绝对不是那个小法小道的东西。这一点我想大家已经都知道了,大法弟子那就是肩负着大法弟子的责任,救度众生。
      说到救度众生,我们很多大法弟子真的是做的非常好。不分年龄,也不分知识的高低。有些年老的大法弟子,甚至于文化程度不高的,都做的很好。大法弟子参与各个项目的,有很多人也付出很大,也都做的不错。我过去对各个项目特别是媒体讲,我说要想更好的讲清真相、反迫害、同时救度众生,这个媒体就必须得立足于常人社会,良性运作,良性循环。向常人社会的媒体公司学习,必须得使它能够正常运作,才能够有效的发挥它的作用。
      很多人开始就抱着一种临时思想,拼一阵子时间就过去了,现在发现不是这么回事。大法弟子做什么事情一定要踏踏实实的,把心放在那去做,不要管时间,不要想那么多。你一定要尽心尽力的做好你该做的事情,那整件事情就会做好。很多人在迫害压力下总想让这场迫害赶快结束,猛干一阵。不是那么回事。当然了,你们的媒体在救度众生中确实是起到很大的作用。
      我刚才讲救度众生,那么救度众生大家想想,在国际社会上我们很多大法弟子都已经熟悉了正常人的思维,与中国大陆人不一样。我这话是什么意思呢?因为在前共产邪党国家,人的思想、思维方式是党文化的,它是破坏那个民族文化,然后给你灌输一种邪党的极端邪恶的理念、思想基础,都是邪党灌输而形成的。在这个邪党文化中成长起来的人就是这样一种思维方式,包括对事物的认识方式。这东西要想完全去掉很难,但是在国外待时间长的人就会发觉,就会感觉到思想和别人是有差距的,是不一样的。从邪党国家出来的人,对自己那种保护心很强,对一些问题表达的心也很强烈,在国外不是这样的。
      特别是在媒体中,用邪党文化那套理论、那套用词、那套思维方式,那就等于是宣传党文化,所以大家要注意这些事情。特别是最近媒体進了一些新的人员,这些年轻人都是从大陆出来的,你们要特别注意这方面。无论你们哪一个媒体都要注意。大法弟子在这场迫害中辛辛苦苦建立的媒体,在国际社会中硬把这个邪恶形势扭转过来了,了不起。媒体立了大功,你们要珍惜它,不要用党文化改变了,象中国大陆来的媒体一样,看上去怪怪的,用词怪怪的,大陆的文章直接就转载。这些要注意。
      我刚才讲救度众生中出现的问题,大家要注意它。再有,我们很多人在讲真相中顶风冒雪的,真的是很辛苦。上次法会的时候我谈到了,在旅游点讲真相不能放松。尤其中国大陆出来的那些个游客,一定要针对他们去讲真相。各地都在行动,做的很好。我在观察,真的是非常好。因为整体形势在变化,中国大陆出来的民众的态度也不一样了,在中国大陆都敢骂中共邪党,在国外就更不怕,反而比国外早出来的华人要强的多——被邪党领馆吓唬的一个个连神韵也不敢看。现在出来的敢,来了赶上神韵就看;退党,说几句就明白了;退党,说给你起个假名吧,不用,我用真名退。
      说起来也不是那么简单的,这是整个正法進程走到了这一步。这其中有大法弟子在救度众生中、讲真相中很大的功劳在里面,才有今天的这个变化。人类表面形势大法弟子在起着很大的作用,正法的洪势也不断的往前推進着,邪恶的因素也不断的在销毁着。除了大法弟子之外,世人也都开始从新认识大法。人生命的深处、明白的一面是知道你是谁的,可是人的表面就象生命穿的一件衣服一样,这个表面是不知道的。很多人认为法轮功就是气功了,他也想象不到法轮功原来是这么大的一件事情——整个三界都是为他造的,人类社会都是为这次正法铺垫的。
      人类的那个根本生命,你叫他灵魂,我们叫他元神,都是从天上来的,来得法的。为什么到这里得法呀?在天上得法明明白白多好得啊?不行。为什么不行?我讲了,这里才能修炼,在苦的环境中才能考验你配不配得法。这就是当初定的。
      再有一个哪,人类社会这是最低层,救度众生指的是所有的生命,不只是人。大家知道在人类社会存在的这层空间中不只是人类,人现在已经知道了有外星人。你们知道各种生命有多少吗?人想象不到各种形态的这类生命有多少,还有其它的各不同层次的生命。这只是人这最低层次的空间,只有在这传法,宇宙天体上下各层、各类所有的生命才能够得到法。你提高一个层次下面的生命就得不到,得不到这一层在宇宙正法后就不存在了,那一层就没了。所以就在最低层传、最低一层做,用最低层这个语言。而且这个法理要是难了,那只能神明白,只能救神,低层生命哪有那个智慧去得呀?因此这次传的法没有任何迷,所以讲叫“理白”,法理浅白;“理白言白”,讲的说的话也是最白话的、最浅白的。低层的生命听明白了,可是却难住了很多高层生命,他们觉的这法怎么这么浅白?他反而不相信了,他反而觉的这怎么可能?对,就这么表面浅白,真学真修才能看到高层的理。所以我说,什么迷都没有却迷倒了高层众生,就这意思。
      人类啊,在这宇宙中,是一个小小的粒子上的生命,在巨大的宇宙中算不上一粒尘埃。从这个星球往大看太阳系,再往大看银河系,大家都知道了,搞天文的可能都知道,读大学的可能都知道,遥远的星系人们看到的就是星星,有很多星星你把它用天文望远镜拉近了一看是个星系。连这个宇宙也是一样,远看了也是一个粒子。那个粒子也有外围,人觉的巨大了,象大无边际,所以人们就叫它宇宙。这个宇宙也不是天体中最大的粒子,这样的宇宙就象我们看到的星星一样多。再往下看下去,那个宇宙还是在更大的宇宙之中。更遥远更遥远回头看看,这第二层宇宙在宇宙中还是象小星星一样的粒子。我就说这个意思。在巨大的天体中,人类不算什么,但是这次正法却成为了宇宙天体的焦点。很多高层生命都转生到这里来得法,谁也没有想象这件事情这么大。
      人类社会就是个迷。我以前跟大家讲过,比如说中国会改朝换代,一个王朝到最后道德不行了,腐败的不行了,贪污腐化,道德品质低下,就要完蛋了,下一个王朝就要代替它,这成了中国的规律。今天的中国,连老百姓都看明白了,邪党没有几天挺了。我只是告诉大家,这也是宇宙成、住、坏、灭的规律。反映到个人的身上就是生、老、病、死;反映到一个国家上,就是你从朝气蓬勃的开始阶段、繁荣阶段,到衰落阶段,到最后败落阶段。这是个规律。哪一个王朝从古走到今天?哪一个国家从古到今一直不破的?从来没有过,这也是宇宙的规律。
      作为一个生命来讲,在这宇宙中不管生命在哪一个层次,这次正法传法,连很多神,甚至很高的神都不知道这件事情最终有多大,只知道这件事情太大了。人就更不知道了,所以人不相信,敢骂大法,敢迫害大法弟子。要用“罪恶滔天”来说也形容不了这罪恶,可是最后这些生命要去偿还,偿还这些大罪。如果大法弟子在这次讲真相中你不能把他救了,他就将去偿还这无边罪业,因为在这场迫害中几乎全人类,特别是中国人,都在推波助流,都起着负作用,都有罪。可是他是为法来的,是被邪恶利用造成的。
      因为法太大了,人对他稍微有一点不敬都是危险的。大家想一想,这么大的法,怎么偿还?我说了,人都是高层来的,他是代表一方生命的,那里甚至于有他的无量众生,数不清的生命,就这么多,他那些生命都得被销毁,来偿还他造的罪,而且他本身也得在层层的灭尽中承受着。这可是很可怕的。我本来不愿讲这些事情,我是说救度众生的本身,我们一定得知道这么大的一件事情,每一环、每一件事情都不是简简单单的。
      看上去人类社会现在做生意的、当官的、上学的,各行各业都很按照规律在运行着。你们仔细想一想,我过去说过这个话,过去修炼它是出家修炼,或者师父带着徒弟,领一帮徒弟在那修炼,他是走这样一个形式。大法弟子不是,是在全社会中修炼。无论你在哪一个行业中,无论你是文化、商业、艺术、政治、学生,你都能在这个环境中修炼。大家想一想,这个环境的本身,是不是人类社会就是为大法弟子提供的修炼场?它能给你提供着各种表现你执着心的环境、因素,它能提供给你任何提高的机会。因为这件事情大,人类社会都成了它的庙。
      说到这儿啊,我就在想,这件事情有多严肃!这么严肃,很多人却不能严肃的对待!特别是一些个老的大法弟子。你想过你所有生活的一切都在修炼当中吗?你的一言一行,你所做的那一切,你都是在修炼中,你知道吗?我们很多人哪,在大法的项目配合中,过去存在很多问题,现在比较消停了。“消停”这句话可能不太明白,北方话,就是比较安静了。不管怎么样吧,能够去配合了。
      再有呢,很多人自己的行为不检点,自己对自己本身修炼的不严肃,都会给你制造成麻烦、困难、甚至痛苦,更甚至于失去生命。有的大法弟子表面看什么大法活动都参加,挺好的,大家看着修炼还行,表面上看挺精進的,可是谁也不知道谁内心有什么执着过不去的心结甚至有多大,谁也不知道谁内心还有什么固执不放的东西,有多么难过,没有表露出来。可是,由于种种原因,大法弟子是个严肃的修炼群体,旧势力会利用各种机会,给大法弟子制造麻烦,也会利用各种机会使一些大法弟子失去生命。有人喜欢看别人怎么做自己也怎么做,那不是自己修是跟别人走,可是修炼人要走自己圆满的路。旧势力为了给你教训、给你反思,甚至会给你照着学的榜样制造麻烦,甚至叫其早走。也有些人的心一直表露不出来,其实什么心都是执着。这场迫害就是要把好坏颠倒、善恶不清,把事情搞乱,看你走向哪一面,看你怎么去理解、怎么认识。
      这些事情教训也都非常深刻了,但却不是在迫害中出现的,是对自己修炼不严肃造成的。当然也不一定是失去生命的本身学员自己不严肃,也可能是别人促使的,别人拿他当榜样。旧势力把一个学员搞走了,从而让一些不精進的更加失去信心,用它们的说法,“不行了就早点走开”,很可能。当然也有一些学员业力大造成的,各种情况都有。
      修炼就是严肃的,一个普普通通的人成神,大家想想,什么样纯净的心能成神?大法弟子虽然在常人中修炼,肩负着救度众生的责任,有一部份人的东西大法弟子才能够在这里生活,可是修炼本身还是严肃的,其实更严肃啊。我每当看到有些大法弟子失去生命的时候,我就觉的不值得,可是他自己真的是精進不起来。也有的人觉的,我修大法了,这就是个保护伞,从此以后有师父保护我。这心不更强烈吗?能允许用这种心来修炼吗?那你不是来求保护来了吗?这哪是修炼哪?
      大法弟子自己什么心都能放下,还得去救别人。其实要求是高的。有的人觉的我没有觉的自己修的怎么高,这么多年了感觉不到啊。是,我已经跟你讲了,大法弟子的修炼方法是为了保证你能够在这复杂的人群中修炼,修好的部份马上就隔开,还没修好的表面部份利用不了,甚至还没感觉到就隔开了,这是保证你最后能圆满的最好办法。无论人这边做的怎么不好,都带动不了修好的那一面,这就是我给你们当初定的,就是这么做的。不然这边刚修好,那边被常人社会的人心一带动又掉下去了,白修了,这个不行。这么大的人群,没有两个人的思想是一样的、想问题的方法是一样的。全世界七十亿人,每个人的思想都会反映出无数的人心,对修炼人有这么多复杂的干扰,所以就采取了这么一个办法,这么修。就是这样,越到最后,邪恶的东西虽然越没有力量了,但是反映出的东西却很坏,所以有的人觉的思想中反映出的东西很肮脏。我告诉大家,我经常鼓励学员说,没关系,你排斥它就行了,做的好一点就行了,别受它干扰就行。
      因为你在人这,耳听目睹,这社会上什么肮脏的东西你都看到了、你都听到过了。大家知道,什么叫听到、什么叫看到啊?不象人想的,哦,我看完了就完了,我也没有把它拿过来;我听到了我也没有去学,就没事了。不是的,任何东西都是物质的,你听到了,就灌進去了,就進到你身体里。你看到了就進去。你们知道过去为什么有些修炼人把自己眼睛弄瞎了、把自己弄聋了?他明白了这一点。除了修炼之外,不想再被污染,他才这么干的。当然这是小道的办法,我就说这个意思啊。我们不怕这个,这个社会就这样,师父早就看好了,给你安排好了,不会受它的影响。但是无论在什么情况下,多么艰难,你都要想到你是个修炼人,你都要往前走,就行,就是这么做的。
      师父讲法,针对这么多人只能概括的讲,可能有些人有些着急的问题想问我。但是提条子这么多人也答不过来,不过解答一点大家还是会觉的是个机会吧(鼓掌)。我就不多讲了,下面给大家解答点问题,时间不会太长(鼓掌),因为我知道今天法会开的晚,所以大家中午没休息。我尽量的给大家回答一些问题。好,下面可以传条子。

    弟子:今年的纽约法会于5月13日召开,是工作日。我们体会到是需要大法弟子在法会期间更大规模向主流社会讲真相,但很多学员不理解。

    师父:这是我定的(鼓掌)。每次开法会,我都想用它来救度众生。叫世人看看,有这么多人在修炼,不象邪党说的;法会期间大法弟子再去讲真相,去救度众生。可是每次法会都是周末,城里空空如也,游行也没有人看,没有人关注。总是这么干。我说本来从外地来开法会的人是绝大多数,他们就是请了假来的,不牵扯周末的问题,所以我说以后就不在周末开了。(热烈鼓掌)

    弟子:近期感到学员中挺普遍的有修炼上的松懈。很多把自己所在项目看的重于更大范围讲真相和互相配合。

    师父:其实我早就看到这个问题了。我在观察。我不吱声的目地就是因为媒体必须扎扎实实的用心把它做好,但是你不能忘了你是修炼人。
      说到这,说说媒体。过去媒体的几个负责人问我,说我们怎么样做好我们的媒体?和常人的区别?我说很简单,你就按照常人社会的媒体做,做的越象越好。跟他们一样,良性循环,良性运作,就是一个常人公司。有一点,你知道你是大法弟子,就行了。所以呀,无论怎么样,你修炼上别放松。

    弟子:师父在早期讲法中说过弥勒的事,说弥勒的译音不准确,以后会告诉我们准确的音。

    师父:现在中共邪党总是去造谣。我不怕它造谣,也不怕它去骂我,是不想干扰了众生被救度,所以有些事情咱们晚一点说。(鼓掌)

    弟子:我是二零一二年从大陆来美国的大法弟子。听说佛学会有个通知,零五年以后从中国大陆出来的不能参与神韵后台和厨房的工作。

    师父:讲到这,我再说一说现在的情况。就这次,通过各地的登记,发现了一个大问题。我们有国外将近一半的学员在回国,而且有些不断的这样来回走。特别是新出来的,频繁的回国。老学员中也有,但是少。新出来的,迫害以后出来的,频繁的回国。大家想一想,我知道很多人回去之后中共找你谈,你说什么,你怎么对待的,无数神都看到了。
      大家知道吗?我刚才讲的话里边就说这意思——你拿修炼当儿戏,你拿你自己的生命、你拿你那些等待着得法求度的无量的众生来开玩笑!这么不严肃的对待修炼。你以为你跟中共对付那几句话,你以为你在中共面前说的那些话,谁也听不见就算完了吗?过去讲“三尺头上有神灵”,无数的神。
      大家知道,我刚才讲宇宙有多大、众生有多少,我对你们说的都是真真切切的。现在开法会的空间,这空气里边密度大到非常微观的每一粒上都是眼睛,都是远处射来的眼睛,在看着这个会场,听着我讲,也看着你们的思想,也听着你们讲。人类社会这么大一件事情,关系到宇宙生命,大家想想,有多少神在注视着你们?!一思一念,你还没有发出那一念,你那个思想的念头在组织结构中,他就已经知道你要表达什么了。我有的时候真在想:有的学员就这么不争气?都得了法了,还这样?
      对自己的不负责任也会给别人带来损失。邪党对法轮功有专门研究机构。你知道吗?它们有对法轮功的所谓可笑的“专家”,对神韵有所谓的“专家”,专门研究法轮功的动向、神韵什么这个那个。什么对它们来讲都是“情报”。邪党它就是整人,包括生活细事都要掌握。一旦找到你时,表现的什么都知道、对你了如指掌,目地是吓的你什么都说,好多不说它们也知道。邪党有几十年的整人经验了。
      我不能说他们发的这个通知是错的、这规定是错的。你们确实存在这些问题,这只是我讲的一小点,问题的一点而已。神韵救度众生的力度很大,不得考虑他的方方面面的不受影响吗?

    弟子:请允许我代表四川成都大法弟子向师父问好。师父辛苦了。

    师父:谢谢大家。(鼓掌)

    弟子:成都的大法弟子非常非常想念师父,盼望见师父一面的时刻早日到来。

    师父:谢谢大家。时间关系,问好的条子就不提了。

    弟子:弟子周围有很多老年同修,每天做好三件事,也学法炼功,但是很固执。修炼十几年了,炼功动作不标准,而且总在炼功和发正念时打瞌睡。指出后不承认、不改。

    师父:很多老年大法弟子身体老化,可能存在一点问题,但是总体上在修炼上、做三件事上,很多都是很好。但是这些问题也真得注意注意了,别让人家为你操心,也给他们年轻的做做榜样。(师父笑)(众弟子鼓掌)

    弟子:项目负责人对利益太执着,一切都以钱来衡量。经商上没有做到堂堂正正,管理方式也多采用强制式。这使弟子对项目走上正轨没有信心。如果因此弟子离开项目,会不会是人为的改变自己修炼道路?

    师父:我是这么想的,如果这个媒体,大法弟子的项目,就应该按照常人那种公司来管理。有些大法弟子就在想:这都是自己的事,干啥管这么严哪?甚至于很随便。我不主张这样看问题,我主张正规管理。
      你不要把我们的媒体当作一个特殊的、跟常人不一样的媒体。公司就是公司。大法里没有公司,大法里没有媒体。那不是修炼,那不是大法的一部份,但是那个环境能修炼,你是修炼人。我就是这么看的。你在任何一个公司你都应该做的更好一点,不要怕被别人管。
      做公司就要考虑经济效益,老是从学员这拿赞助、拿钱,我是非常反对的。所以作为负责人来讲,他会考虑经济效益,应该说是没有错。
      如果说大法弟子负责人忘了是大法弟子了,忘了自己是修炼人,那是问题。我是这么看。如果在管理上超过常人公司的管理了,那我觉的就又不应该了。

    弟子:1)因前段时间海外中国大法弟子交身份证的问题,家属很不理解。能否请师父解释一下?

    师父:我举个例子。有学员跟我说,在香港有那么几个人,一到关键会议上、项目会议上他就来了,平时你不知道他上哪去了,你也不认识他,谁也不知道他真名叫啥。我说的这是香港这一个地方,很多地方都存在这问题。大法弟子项目也需要安全,毕竟在非常时期,邪党在迫害,所以我觉的这件事情还是可行的。
      有人问我说,大法弟子我们修炼不是没有花名册吗?对,没有花名册,不当花名册使,只想知道你是谁。非常时期,历史上修炼哪有搞媒体的?哪有反迫害的?是,它不是修炼那部份,但是它是大法弟子救度众生的项目。

    弟子:2)正法时期大法弟子随师走后,将来佛学会还会存在吗?如果存在,它与大法的关系是怎么样的?

    师父:你想的太多了。(众笑)以后的事是以后的事了。法正人间的事跟现在做法完全不一样,存不存在那时候看需要。(师父笑)
      人类也不是那么简单的。人哪,我说的人,他就是喜欢眼见为实,看不见他就不承认。可是修炼就是让你从理悟上认识,这就是差别。针对将来的人,我会把所有的真相揭示出来给他看,这是不同的。

    弟子:这次参加法会的人员,要求佛学会严格把关,但还是有不符合要求的学员上下活动,甚至找遍所有认识的关系参加。

    师父:参加大法的法会,这个心情应该说是没什么可指责的,是个好事。但是作为管理来讲,他不会这么想,他会考虑安全,我们的法会能够正常進行、不受干扰。这是矛盾,那大家自己想想吧。(师父笑)

    弟子:有学员利用大法项目联系上全球很多弟子,并开始做自己的生意。这样是不是干扰大法弟子?

    师父:是。利用大法资源在赚自己的钱的,你跟那个迫害没有任何区别,将来你就知道了。这种干扰是破坏大法弟子资源。资源是有限的,它是用在正法救人上的。将来这件事情可不是简单的。

    弟子:我是西人学员,几年来在纽约做媒体,我发现许多中国学员到现在还不了解西方社会。

    师父:说的太对了。我们很多人就在华人圈子里转。我有时候经常跟他们讲,我说你到常人社会里边找一份工作,了解了解社会,了解了解自由社会人的思想想问题是怎么想的、做事是怎么做。我经常说这个事。

    弟子:不太明白如何让媒体在这个社会里立足。

    师父:我想这个问题是应该引起我们深思。我听说纽约的英文大纪元人不多,一些西人学员做的很有条理。我听了很高兴。将来一定会很健康的发展起来,甚至于超过中文媒体,因为这里是英文社会嘛。(掌声慢慢响起)

    弟子:当有学员被病业干扰时,有学员说找开天目的同修帮助给善解。

    师父:他是自心生魔,什么善解?大法弟子哪有偶然的事情啊?
      你们知道大法弟子安排完了之后,我这个当师父的都动不了的。我哪,动不了有两个原因:我要去动了,他整个修炼路,从头到尾修炼路,就全改变了,都得从新来。再有一个,我真的要去动的时候,旧的一切因素都会干扰。
      这场迫害我不承认,它为什么能干扰的了?就是因为师父人的身体在表面空间。我巨大的身体、巨大的能力,被整个没正完法的那部份天体间隔着,里边有无数的各层宇宙、生命,都是神,少了它们就挡不住我。正法中我不断的往前推進,一层一层的正法;一层一层的留下的就留下来,不留的销毁掉,不断的往前飞快的推進;没被正完法的天体就这样隔着我,因此旧势力它才能做了迫害大法弟子这个事,它才能够干扰到我。你善解什么?这么大的一件事情你能动的了?
      而且空间是极其复杂的,就一张纸这么厚,里边可能存在着几个亿的空间。每个空间都有自己巨大的时间。大家知道,越微观那个粒子的能量越大,换句话讲,它越强大。那分子是动不了原子的,原子却能解体分子,是不是这个意思?越微观,粒子力量越大,你怎么能碰了它?一层一层的。我们有些学员,他总是不能在法上,对小道、乱七八糟很感兴趣,胡言乱语。
      因为空间这么复杂,也造成了有些开天目的,他不是全开,开了一部份,看不到真相,看到的都是复杂的假相。也不是有意的给你假相,他看不到全部真相,他看到一点,那一点会给他成为假相。那你说一个人在这,这个人身前身后左右无数无数空间里边有无数层层叠叠的生命,他怎么能分的清呢?这个生命和这个人什么关系?所以有的时候有学员讲这个附体、那个附体,我说你就是附体。我一直在告诉大家:你看不到真相,不要乱说,一定要在法上修。修炼了什么事情都是好事。

    弟子:台湾飞天学校的小同修最近将有一批毕业成为大学生。请问他们今后如何更好的证实法?

    师父:我想有条件的你可以去到专业团体,也可以去深造这个专业;如果没条件的你可以选择其它的学科。无论学什么都把它做好。最起码在这个社会上你有一技之长。大法弟子有许多电脑专家、科学家、一流人才,所以全世界唯有大法弟子的网站能把中共邪党的封网破掉。(鼓掌)各国政府各大公司都在用我们的网站与大陆联系。我是说,用你们的一技之长,用你们的话说,就是助师正法、救度众生。就这么做。

    弟子:我姐姐去年带着朋友专程来日本看神韵,回到香港后毅然走進了法轮功游行队伍,走完全程。这次她说她也要参加纽约法会,还三次跟我说代她向师父问好、谢谢师父。朋友们也给我留言祝大法会顺利开幕。众生已经觉醒了。

    师父:走進了大法的游行队伍,还有一些常人,不修炼的,都在觉悟。
      我们有一部份新学员、西人学员,可能听不懂师父讲这件事情这么大。我告诉你们,不管你们信还是不信,因为法会嘛,我是对大法弟子讲法,所以比通常讲的高一点。可能你不一定接受的了,新学员不一定能听的懂,但是我要告诉你,全世界各个国家历史上的各个国家各个时期的王,在天上的很多王,都转生到中国去了,现在在当中国人,因为那里是大法洪传与修炼的中心。这事情是史前就定下的。
      中国人,近代被迫害的很不像样子了,甚至外形都很丑陋了。可是我告诉大家,里边很可能有你的王,有你们的王。这件事情绝对不是一件小事,将来你们就会知道。其它国家,除了我们救度众生能够留下的,以后还有法正人间,那是将来的事,就是人的事了。

    弟子:目前三退的人数已经是一亿六千多万人,还有大量的中国人没有三退。大法弟子的数量也是很大,每个大法弟子都能开口讲话就能让更多人得救。目前是否讲真相的大法弟子还是少了?

    师父:我想多多少少都在根据自己的修炼状态在讲真相。状态好的讲的就多,状态差一点的就少,基本是这么个情况。从力度上讲,经常去讲真相的这些人,那真的是了不起,也很有经验,做的数量也很大。就是有很多不太注重讲真相的。其实不太注重可不是小事。如果你在项目里,没问题,因为是在助那个项目在讲真相。如果不是这样,大法弟子你不讲真相,你就等于是没有承担大法弟子应该承担的事情。

    弟子:我们地区几个媒体的学员,不同程度都出现一个严重的问题,学法时眼皮似有千斤重,有的发正念时倒掌,炼功时睡觉。

    师父:许多大法弟子,如果忙于大法项目也有情可原。救人这事情很忙,有情可原。如果你不是这个情况,就是修炼在不精進。

    弟子:站着或跪着学法,但一坐下来又回到困倦状态,长期突破不了。这几位都是承担比较多工作的学员。

    师父:那是。我想学法嘛,无论怎么样,站着也好,采取什么办法也好,一定要认真。师父知道,许多学员很忙,一天没有几个小时的休息时间,所以会出现这个问题。

    弟子:用电子书学法和用书学法,效果同样吗?

    师父:一样,但是我觉的用书是最好的。那书可是宝,别的比不了。

    弟子:经常回大陆的人是否可以担任协调人?

    师父:如果那一个地区只有两个人,(众笑)你可以。否则不可以。(众笑,鼓掌)

    弟子:有同修认为大陆环境已经宽松了,只要正念强就没有问题。

    师父:正念强就会减少迫害,一定的。能正念强也是修炼的结果。但是修炼是严肃的。那个旧势力绝对不会看见你有人心它不管的。旧势力它破坏了我要做的事情,但是它真的不敢破坏了正法,因为正法这件事情没了宇宙一切都完了,因为巨大的宇宙已经在成住坏灭的最后最后了,所有的生命都指望着正法这件事情。正法被破坏了就什么都没了,谁也不敢真的破坏。

    弟子:有同修在媒体重组离开后没有参与其它项目,也很少学法炼功发正念,晚睡晚起,交流无效。我心里非常着急。

    师父:是啊,肯定着急的,因为旧势力马上就会找上他了。这不是说说而已,这例子、教训太多了。

    弟子:感觉他受到外来干扰,也只有帮他发正念。

    师父:有心结就是有执着。他自己有问题,不是你发正念能解决的问题。他自己正念很足,如果魔很多,他自己做不过来,你帮他发正念,管用。他自己的心不行,他自己不想动,肯定干扰就来,那个时候你发正念干扰很难清除,因为他自己得有正念才能动了、才能帮得了。

    弟子:我们东欧大法弟子与协调人长年有矛盾。一提讲真相他就阻止,但他和自己小圈子的人什么也不做。我们尝试跟他沟通,没有用。

    师父:那就改换人。是啊,有些人心多的会这样。这在早期我传法的时候也出现过,领一帮人在那表现他自己、显示他自己。还有的领一帮人玩的很高兴,这是俱乐部啊?就是人心,各种各样的人心,都会在修炼中表现出来。自己不精進,领一帮人在那影响着别人精進不了,那你说他起的是啥作用?真的走回来你还能是个大法弟子,走不回来就会被当作魔干扰处理。是这样的,我不是说我来处理。师父就是救人,不会处理谁,可是那些个旧势力它们可不会放过他的。

    弟子:现阶段如何挽救那些邪悟者,特别是那些“七•二零”前后当过辅导员的、曾经走在前边的人,又影响着一批人?

    师父:没有特殊办法,去讲讲,看他误在哪里了,解开他的心结。救人嘛,就是这样。

    弟子:“七•二零”以后的学员如何更好的走过病业关?

    师父:修炼中,一个人在修炼中不会让你一次把难都消掉。生生世世,集重如山。一次消,人的生命都没了。会分阶段的,甚至于分阶段的到你修炼的最后。所以你不要想,哎哟,我都修炼这么长时间了怎么还有病业关?你不能像以前修道人那么看问题,你是在常人中修炼,你是这样的一种修炼形式。

    弟子:我是大陆弟子,在各地接触过一些同修,感觉整体上越来越成熟、理性,环境也逐渐的被改变。但用大法标准来衡量,表面展现上好象没几人能达到要求,只不过大家在迫害中的确不容易罢了。

    师父:是这样。环境宽松了,壮壮胆,怕心小一点,并不是没有怕心,怕心小一点就敢了,就敢走出来了,心并没去掉,所以反映出来就是精進成度不一样,做事强度不一样,修炼状态也不一样。会这样。做的非常好的都是守住法,在大法上修。从法上去认识,从法上去提高的。

    弟子:请示师父台湾每年做大型排字的意义。

    师父:台湾每年的大型排字做的很好。(师父笑)我看了也觉的很壮观。常人看了之后也觉的很神圣。那邪恶看了哪,那一定是很震慑。

    弟子:大陆劳教所解体后,洗脑班死灰复燃。正义律师与我们配合解体黑窝。前两次去洗脑班喊话,去当地检察院和农垦局控告恶人,对恶人震慑很大。

    师父:这些事情大法弟子做的都很好。有些迫害大法弟子的一些具体官员还看不清形势,邪恶还在利用他们。邪恶不止是看大法弟子的人心,它也看常人的人心去利用。整个环境都是修炼环境。所以那些不好的人,只要他们上边不说停止迫害,邪恶还会利用他干,因为他干的事情就是这个事,他的职责就是干这个的,邪恶也会一直利用他。过去中国有一句话,人家偷驴的,把驴偷走了,他去偷那个橛子。他就是属于拔橛子那个人。

    弟子:我的问题是媒体要学神韵文化,不要党文化。

    师父:不是神韵文化,神韵表现的是传统文化。不要党文化是对的。
      神韵当初是怎么做起来的呢?有一批搞艺术的大法弟子,想用自己的一技之长来揭露迫害救众生。当时因为迫害初期,很多人各种各样的思想、各种各样的想法,组合不到一起,配合不到一起,结果搞出的演出效果不好,节目质量也不行。我看到散场之后人们一边走一边说,说什么的都有,说好的却不多。这些话我当时听了之后心里很沉重。大法弟子心是好的,也想救度众生,可是收不到好的效果。搞了两次之后,我觉的人力物力用的不少,收不到好的效果。从另一个角度讲,因为它专业性很强,你没有一个总体的做法也做不好,救不了人。后来我就想,我来带他们做做吧。就这样开始了建立神韵。
      建立神韵后,第一年演出效果就使社会很震动,关键是观众收到了正面感受,而且认识达到预期的效果,反馈非常好。然后我就在想,因为当时的演员基本条件都不好,急急忙忙招上来的,训练训练就上了台了。乐团也是,来一大帮,老的少的,水平参差不齐,我觉的这不是个长远的办法。要想让它在救人上更有力度,就必须自己培养演员。建立了学校,自己培养演员、培养演奏员。
      整个一个过程就是这么走过来的。在管理上,在做法上,既是修炼人,同时又是一个艺术团体。怎么样做好,怎么样摆好这关系,在管理上怎么样能够更适应,我也是考虑很多,最后定下来的。
      就整个做下来的这个过程,其实我也想给其它大法弟子办的项目看一看——你不能够不认真去做。我早就对他们讲要自己培养自己的技术人才。这事情老是推着走,就不行,做不好。现在飞天艺术学校培养的演员,用不完的用,大量的人才。你们看这两年,每年成立一个团。在管理上,大家也知道神韵艺术团的演员修炼状态非常好,除了刚从社会上招收来的他们还不是太明白,很多人修炼状态非常好。这都是我想给其它项目看的。当然它技术性很强,短时间就能一下子推的很高,成为世界第一秀,还没有一个艺术团体能比的了,就是因为他们是修炼人。不过,眼下我一下子又抽不出身来了,搞的我很忙,短时间内又没人代替我。

    弟子:在我们地区有些项目感觉做的不太正,甚至有些方向性问题。我觉的自己改变不了什么,总觉的背后有些不符合法的因素在操纵,目地不纯,所以我采用不参与的态度。

    师父:没有矛盾是不可能的,不如意就消极是人心。参与不参与都是个人的问题啦,你不参与这个,做其它项目,或者讲真相,都可以。作为大法弟子,说如果一个媒体有问题的话,不要不管。你是大法弟子,谁有问题你看到了不说,对他也不好。善意的去把这些问题讲一讲,解决解决。无论谁,大法弟子里没有官,负责人也是个联系人,每个人都在修炼中。我经常说,你真心为别人好,没有一点为私的心,你讲出的话能使别人落泪。试试?

    弟子:大陆有的学员早上上网一直到晚上,在网上联系学法切磋,还全国各地到处跑。

    师父:有些事情,大陆一些具体事情,师父就不想多讲,特别是牵扯学员安全,有些是起着正面作用,有些是掺進的人心太多,有些我在观察。修炼过程嘛,这些事情看他们的结果是什么。你们如果看到问题,就要说,为了救人。在大法弟子中正气一定要足。

    弟子:讲法已经一小时二十分钟了,是否还需要继续收条子?

    师父:(笑)就这些了,不送了。

    弟子:随着正法推進,形成整体很重要,每个大法弟子有责任容入到整体,但有个别人悟不到。

    师父:修炼师父从来也不想一刀切,这样那样。修炼那都是根据自己的层次、认识、修炼状态决定。有些事情大家去配合。心到了你就去,心不到位去了也配合不了。也有些是有人心,有些事修的很好了,你不能说这个人不行。某件事情做好了,其它事情没做好,也不行。

    弟子:今年神韵节目歌词、报幕,都多次提及创世主。观众追问工作人员、记者,创世主到底是谁?弟子们不知如何回答。

    师父:这个你可以这么跟他讲。你说全世界都知道创世主,宇宙的法就是创世的法,创世主造就宇宙包括宇宙中的各层众生。作为修炼人来讲,我们知道宇宙的大法已经在传。神认为只要你有人身在,你就不能说你是神。你们知道西藏的喇嘛他们叫“活佛”,天上的神很不满意:你是活佛,我们是死的?(众笑)人,只要你有人身在,你就不能说是佛。佛是佛像俱全,人是人相俱全。我们知道到这个时候创世主来了。不要讲的太具体,因为目前师父只是传法。(鼓掌)
      无论叫什么名字,也是为了启悟人的正念。你对中国人讲,你说邪党头子来了,他可能以为大魔头来了,有什么了不起?你说社会什么名人来了,那就是看一眼而已。你要想让人升起修炼的正念,从救人的角度讲,就不一样了。
      大法弟子都知道了,师父在宇宙中,层层往下转生的时候叫过不同的名字,但是我现在就是个人相俱全的你们的师父,传法的师父。就这样。(鼓掌)大家拿我就和正常人看。

    弟子:日本主流社会讲真相如何突破?

    师父:这些事还是你们自己做啦。中国大陆去的大法弟子在日本社会要想打开局面,很难。因为中共邪党一直在制造着事端,日本人的国民排斥中国的心很强,甚至于神韵都不看。只要是中国的他就抵制,就到这种程度,所以讲真相很难。当初我就叫日本学员当负责人,可是中国大陆学员在协调工作上总是往前抢,因此日本那边就没做开。这些事都过去了,现在也只能是这样了。

    弟子:针对香港目前的问题,真相横幅被邪恶遮挡。

    师父:香港的事情很好,香港就不用多说了,那是邪党的嘴边。大法弟子出来做的,那就是了不起了。那里的大法弟子成了邪党的眼中钉,救人讲真相起了大作用。(鼓掌)

    弟子:五十多个国家两百多个地区的全体大法弟子向慈悲的师父问好。

    师父:谢谢大家。(鼓掌)还有几张,念完它。

    弟子:我有时会明显感到自己和修炼的好的大法弟子有差距。我还能赶上师父曾经为我安排到的层次吗?

    师父:应该没有问题吧。我想大法弟子,特别是从“七•二零”走过来的,你就不用想那么多了,把你该做的事情做好,就行了。(鼓掌)
      作为新的学员,师父心里真的很着急,真的希望你们能赶上。历史上所有那些个你们叫作圣人、先知、神的代言人讲的那些东西,你看看和今天传的这部大法,对比一下,就知道其实他们没有讲法。从古到今,没有任何一个人能把修炼与天体结构说清楚的,特别是人与神的关系。这部大法你看了之后,各种其它宗教的经书都能看懂,但不是为了这些。有很多在各种学科中很有成就的人,看了之后都很震撼。有些人不用心,反而觉的没看到什么。人是不一样的,心态不一样。因为那是法嘛,你心态不正,你对待他的心态不一样,他给你显示的也不一样,显现的也不一样,甚至不显现。

    弟子:大纪元营销,让学员学某学说,可该学说在中国大陆是传销的人学的。

    师父:大法弟子毕竟是大法弟子。认认真真的去做好你该做的,经验多了就能做好。搞技术的把技术掌握好就可以了。有些东西不一定那么学。其实大法弟子无论做什么,用一点心就事半功倍。你要叫我看,我说就是个用心问题。很多人说不会做市场,我说是不想用心做。关键就是那个心老是踏实不下来。

    弟子:离婚是不是破坏法?

    师父:离婚与破坏法没有关系。法是谁也破坏不了的,他是宇宙中就有的。只是我们在修炼中作为大法弟子,你该做的你就做,你不该做的你就不能做。你做什么事情都用一个修炼人的标准去衡量衡量。法律允许离婚。如果你志不同道不合又不让你修炼,那是另外一回事。如果不是这样,是你自己朝三暮四了,或者你自己有什么别的心了,那就不应该了,那就是修炼上有问题了。

    弟子:有人长期混在学员中,说自己天目能看到什么、能给学员清理身体。

    师父:其实这些人就是自心生魔。越这样的人越给他假相,他越当真事。大法弟子谁能动的了?当然不真修的也不当大法弟子对待。
      在神的眼里看,一切都是幻化来。一件事情神一念即成。世界怎么成的?我给大家讲过原理。人没有能力,得动手动脚做才能实现。比如桌子上的这盆花,做插花得一个一个的插,把花摘来、买来、插好。神的能力大,功的层次多,他可以在他果位那么大的面积上想要什么他的功就能从零开始去组成。他用的时间场也是特别快的时间场,各个空间功的粒子同时动,一下子从无到有都组成,可是这个时间又是走的最快的时间,所以只要他意念一想就做成了。人没有那个能力,所以人得自己动手去做。

    弟子:并向学员收钱。

    师父:我说那就不是修炼人了,这种人你就远离他,他也不是修炼人。

    弟子:请问最近同修交流文章中建议不要用电子阅读器学法。请问还需要做吗?

    师父:我没有说用电子书不能行,为了这个特殊时期方便,用什么都行,当然书最好。现代的技术已经是这样了,那就利用它来学法也是可以,只是因此得了福报,不能代替看书学法。
      什么都是生命,什么都是活的。你认为的有机物那是在这个空间中显现出生命迹象,你认为的无机物,钢、铁、石头、水泥、电子,它不在这个空间显现它的生命迹象。仅此而已。
      我就说这么多吧。问题解答了一个多小时。因为学员多,一时也解答不完。法会上学员之间的交流很重要,因为这才是你们切身的体会。师父只是说一说当前的情况,解答一点问题。每次大家远道而来,也想看看师父讲什么,所以想多跟大家在这待一会。其实我很想和你们在一起。(热烈鼓掌)
      不管师父讲多少,修炼还得靠你们自己。师父最担心的就是,目前有一部份人变的不精進了。迫害当初大家劲很足,把整个形势都扭转过来了。随着环境的宽松,你反而松懈了。修炼哪,有一句话,过去我也跟你们讲过,“修炼如初,必成。”(热烈鼓掌)很多人修炼不成,就是在时间的消耗中他走不过来。寂寞,无聊,对一件事情已经熟悉的不想再动了,或者是已经变的习以为常了。什么事情都会使人变的懈怠。你不断的精進。过去修炼人到了最后那一步还要考验你一下子,如果越来越懈怠,那一步考验肯定过不去。
      当然大法弟子倒不是走这条路了,还有什么能挡住你的?我就说这意思啊。最艰难时期你们都走过来了,我告诉你们早期的大法弟子、历史上和我结过缘的,或者是随师父来的,你们个个都算上,要想在常人社会中做点什么,你们个个都是亿万富翁,你们个个都是这个社会中的名人,你们个个都是很高阶层的人。你们今生来当了大法弟子,那些都放弃了。你们要想发财,你们早就能发财,不要再为一点小利毁了自己生命的夙愿。
      你这个生命到地上来都是为这个事情,你怎么能够不精進、懈怠了呢?机缘哪,万古机缘!不管多长时间,都在为这件事做准备、吃苦、消业,在痛苦中走到今天,你反而不精進了,可不可惜呀?!可是这一步却关键,不精進就完蛋了。你的生命不都是为了这一时刻吗?
      一个生命从历史上走到今天,你为了什么?就为了一瞬间哪。在历史的长河中,这段时间就是那么一瞬间。别那么消极,振作起来。你是修炼人。众生等着你救度哪!
      谢谢大家!(师父合十环视全场,全场大法弟子起立长时间鼓掌。)



    简体字A4版:  PDF文件
    简体字Letter版:PDF文件
    正體字A4版:  PDF文件

    法警方干涉集会 巴黎行政法庭判法国法轮大法协会胜诉

    文/法国法轮功学员

    【明慧网二零一四年五月二十四日】二零一四年三月二十六日傍晚,法国巴黎行政法庭(Tribunal Administratif de Paris)紧急审理法官Doumergue女士下达判决,法国法轮大法协会胜诉,巴黎警察局败诉,法轮功学员得以翌日在中共使馆前举行和平反中共迫害的集会,呼吁到访巴黎的习近平法办在对法轮功的迫害中血债累累的元凶首恶江泽民、罗干、周永康、刘京、曾庆红、李岚清等。

    二零一四年三月二十七日,法国法轮大法协会如期在中共使馆前举行和平反中共迫害的集会
    二零一四年三月二十七日,法国法轮大法协会如期在中共使馆前举行和平反中共迫害的集会

    巴黎行政法庭判决书原文(第一页)
    巴黎行政法庭判决书原文(第一页)

    巴黎行政法庭判决书原文(第二页)
    巴黎行政法庭判决书原文(第二页)

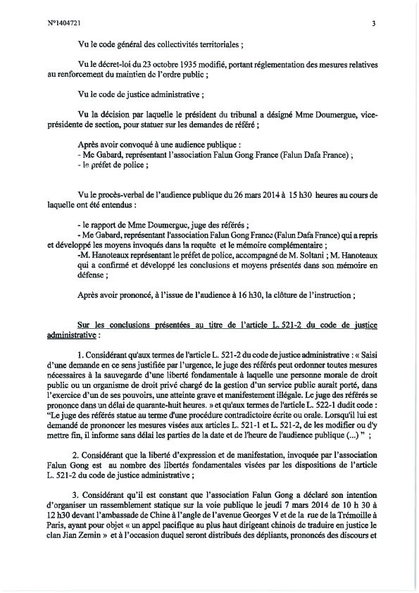
    巴黎行政法庭判决书原文(第三页)
    巴黎行政法庭判决书原文(第三页)

    巴黎行政法庭判决书原文(第四页)
    巴黎行政法庭判决书原文(第四页)

    巴黎行政法庭判决书原文(第五页)
    巴黎行政法庭判决书原文(第五页)

    法国法轮大法协会计划于三月二十五日至二十八日,即习近平访问法国期间,在中共使馆对面,举办反中共迫害的和平集会,主要内容之一是法办在对法轮功的迫害中血债累累的元凶首恶江泽民、罗干、周永康、刘京、曾庆红、李岚清等。然而,三月二十六日上午,巴黎警察局长给法轮大法协会发来命令,禁止在中共使馆对面集会,而要求到几百米以外的地方集会。

    法轮大法协会认为警方的禁令是对基本自由的严重侵犯,且明显非法;过去历次法轮功学员集会从未给公共秩序带来任何搅扰。协会要求巴黎行政法庭紧急开庭审理此案。

    该法庭紧急审理法官Doumergue女士认定事情的紧急性成立,并于当天下午召集有关双方开庭。

    在听取双方陈述后,Doumergue法官于当天傍晚下达判决书,判定法轮大法协会在习近平访法期间、在中共国使馆前举办和平反迫害集会的选择“属于行使表达自由的范畴”;而警察局长拿不出任何该集会“能对公共秩序造成威胁的风险的确凿证据,哪怕是可能的理由也没有”。判决书认为,法轮大法协会“具备充分的理由而应予以支持”,而警方禁令“构成了对集会自由与表达自由的严重侵犯,且明显非法”。

    判决书下令中止该警方禁令的实施;命令警察局长让法国法轮功协会在希望的时间、地点集会;判决书还责成国家向法国法轮大法协会支付一千五百欧元。

    判决书将发给法国法轮大法协会及法国内政部长,并抄送巴黎警察局长。

    据悉,二零零九年和二零一零年,法国法轮大法协会的活动两次遭巴黎警方禁止,而要求法国巴黎行政法庭紧急开庭审理,后者两次做出了完全和这次类似的判决。此后几年间,巴黎警方没有阻挠法国法轮大法协会的类似活动。

    此次事关中共最高领导人访问,法庭依然做出同样的判决,意义更加重大。巴黎行政法庭的判决捍卫了普世价值和法兰西的真正利益所在;判决也是对迫害法轮功的江泽民政治流氓集团的沉重一击。

    以下是判决书全文及中译本。

    巴黎行政法庭

    第1404721/9号
    ------------------------
    法国法轮功协会
    (法国法轮大法协会)
    ------------------------
    Doumergue女士
    紧急审理法官
    ------------------------
    2014年3月26日法令
    ------------------------
    54-035-03
    法兰西共和国

    以法国人民的名义

    紧急审理法官

    根据2014年3月26日登记的、由位于巴黎第19区的法国法轮功协会(法国法轮大法协会)现任主席所提出的请求,并聘用FGD律师事务所的Gabard律师;法国法轮功协会(法国法轮大法协会)要求紧急审理法官:

    ⁃根据行政法第L. 521-2条,中止(巴黎 - 译注)警察局长关于禁止法国法轮功协会3月27日10点半到12点半在中(共 - 译注)国使馆前、巴黎第八区乔治五世大街与La Trémoille街交接处便道上的集会;

    ⁃命令警方允许法国法轮功协会3月27日10点半开始在中(共 - 译注)国使馆前、巴黎第八区乔治五世大街与La Tremoille街交接处人行道上的集会,每拖延1小时(警方 - 译注)将受到3000欧元的罚款;

    ⁃根据行政法第L. 761-1条,判罚国家支付4000欧元;

    (法轮功 - 译注)协会方面陈述说:

    ⁃事情紧急,因为只有在中(共 - 译注)国主席正式访法期间,其集会才有意义和效果;实际上,集会是为了提请中(共 - 译注)国最高负责人对1999年以来中(共)国对法轮功的迫害的注意;最后,这类集会的目的在于就对法轮功的迫害及结束迫害的必要性警示中(共 - 译注)国当局,同时并引起公共舆论对此给予关注,所以在中(共 - 译注)国使馆前举行才有意义;

    ⁃拒绝协会在其所希望的时间与地点组织集会,侵犯了集会自由这一基本自由

    ⁃这一对集会自由的侵犯事态严重且明显是非法的;事实上,这一侵犯是严重的,因为这一集会只有在中(共 - 译注)国使馆前举行才有意义,以引起中国当局对法轮功在中国的处境、及对法轮功学员毫无放松迹象的镇压的注意;警察局提出的Alma广场和抵抗力量广场等其它集会地点分别距中国使馆250米和400米之遥,对集会的目的是个障碍,会阻碍其合法地运用其集体表达观点想法的权利;另外,(警方 - 译注)这一侵权明显是非法的,因为(警方的 - 译注)拒绝没有说明任何理由,并且考虑到集会人数不是非常多,集会不会给公共秩序带来任何风险;而且也没有任何充足的证据表明警察局拿不出足够的警力来维持人数不很多的集会秩序,集会人数不会超过80;过去,历次(法轮功学员的 - 译注)集会从未给公共秩序带来任何搅扰。

    鉴于记录于2014年3月26日的法国法轮功协会提交的文件包含与协会上述请求同样的内容,而且它于3月26日11点30分,被警察局通知禁止集会;鉴于该集会会对中华人民共和国主席的正式访问的安全带来风险的假设没有根据;鉴于该集会大概会有4、50人;鉴于乔治五世大街有40米宽,且其与La Trémoille街的交接处与中国使馆稍微错开,所以集会地点与(使馆- 译注)建筑物入口有至少50米的距离;鉴于集会是静止的,不会更近,不会阻碍乔治五世大街上的行人和车辆的往来;鉴于没有任何有关爱丽舍宫(法国总统府 - 译注)和中(共 - 译注)国使馆在3月27日上午在有关地点活动安排的记录;

    鉴于记录于2014年3月26日的警察局长关于拒绝(法国法轮功协会 - 译注)集会请求的文件;

    警察局长陈述说,如果说此事的紧急性成立,而且公共表达理念和诉求属于基本自由的话,(法国法轮功协会的 - 译注)集会请求应予拒绝,原因是被(法国法轮功协会 – 译注)抗议的拒绝令并没有对上述自由构成严重侵犯;事实上,所有在乔治五世大街与La Trémoille街交接处人行道上、及这两条街上的集会一概遭到禁止,原因是这一具体地点的公共秩序风险问题,因为这一地点属于在2014年3月25日到28日之间中华人民共和国主席对法国的国是访问期间安全措施有所加强的地段之一;中华人民共和国主席会很接近这些地段,而对他的保护应以维护公共秩序的名义得到警方权力当局的重视而成为特别重要的事情;另外,它(警方- 译注)向申请集会方建议了其它的地点以表达他们的观点,所以并没有严重侵犯集会自由和明显非法的事;最后,警力因中华人民共和国主席的到访而特别动员;向申请协会发出的禁令同时考虑到了权利与实际情况;

    鉴于(警方- 译注)禁令遭到抗议;

    鉴于本案件的其它内容;

    鉴于本地区的基本法规;

    鉴于有关加强维持公共秩序措施的规章的1935年10月23日的法令修正案;

    鉴于行政法;

    鉴于行政法庭庭长任命Doumergue女士、分庭副庭长,裁决本紧急请求的决定;

    在召集公开开庭后:
    ⁃ Gabard律师,代表法国法轮功协会(法国法轮大法协会);
    ⁃ 警察局长;

    鉴于2014年3月26日15点30分公开庭审的笔录:

    ⁃ Doumergue女士、紧急审理法官的报告;
    ⁃ Gabard律师,法国法轮功协会(法国法轮大法协会)的代表重申和进一步详述了其请求和有关补充文件的内容;
    ⁃ 警察局长的代表Hanoteaux先生和陪伴他的Soltani先生;Hanoteaux先生确认和进一步详述了他的辩护文件中的结论;

    16点30分开庭结束后宣布预审结束;

    关于据行政法第L. 521-2条所宣布的结论 :

    1. 考虑到行政法第L. 521-2条:“在这种合理的紧急请求下,紧急审理法官可以下令采取一切必要措施,以保护在某一公权法人或某一管理公共机构的私权组织,在其行使其权力时,所可能明显非法和严重侵犯到的某一基本自由。紧急审理法官可以在48小时的期限宣布判决。”还有同一法律的第L. 522-1条:“紧急审理法官裁决书面或口头表述的纠纷。当他被请求在第L. 521-1条和第L. 521-2条方面做出判决、或修改、或中止该判决时,他毫不延迟地向有关各方宣布公开庭审的日期和时间(…)”;

    1. 考虑到根据行政法第L. 521-2条,法轮功协会所引以为由的表达自由和集会自由属于基本自由的范畴;

    1. 考虑到法轮功协会声明于3月27日周四10点半到12点半在中(共 - 译注)国使馆对面、在巴黎乔治五世大街与La Trémoille街交接处公众地段上举行的集会,“以和平方式要求中国最高领导人法办江泽民团伙”,并散发有关传单、通过话筒和高音喇叭发表演说、播放音乐等一事属实;考虑到警察局2014年3月25日做出的、次日发给法国法轮功协会的命令,拒绝其在所计划的日期与时间,在乔治五世大街与La Trémoille街交接处、包括这两条街上的集会的权利;事情的紧急性得以确立;

    1. 考虑到禁止关乎基本自由的公众集会只能在确认公共秩序会受到扰乱的情况下合法地宣判;
    2.
    3. 考虑到警察局长声称在中华人民共和国主席对法国的国事访问期间,实施了一些特殊的安全措施,特别是在中国主席要去的地方、周边及他所经的行程路线设置了一些安全区;及乔治五世大街与La Trémoille街属于这些安全区,他并向法轮功协会建议了其它集会地点,特别是抵抗力量广场等一些在中(共 - 译注)国使馆周边的安全加强区以外的地点;他还声称法轮功协会拒绝了这些建议,所以(警方禁令 - 译注)对集会这一基本自由的侵害既不严重,也不明显非法。尽管如此,在这类情况下,(法轮功协会 - 译注)在中(共 - 译注)国使馆周围举办象征意义的集会的选择属于行使表达自由的范畴;而且,考虑到乔治五世大街的宽度,与协会所要求的集会地点与中(共 – 译注)国使馆的错位,从这一象征性距离,到前面提到的不多的集会人数,而警察局长拿不出任何(集会 - 译注)能对公共秩序造成威胁的风险的确凿证据,哪怕是可能的理由也没有,也没拿出不能调动警力以预防上述可能风险的任何理由;所以,申请方协会具备充分的理由而应予以支持,而不需论及警方禁令的方式的妥当与否;上述拒绝构成了对集会自由与表达自由的严重与明显非法的侵犯;所以有必要宣布中止警方禁令的实施;并极其紧急地命令警察局长让(法轮大法协会的 – 译注)集会如其所声明的、照原条件如期进行,而不需与逾期罚款的要求挂钩。

    关于据行政法第L. 761-1条所宣布的结论:

    1. 考虑到这些情况,有必要判决败诉的国家方,据行政法第L. 761-1条,向法国法轮功协会(法国法轮大法协会)支付1500欧元。
    2.

    命令

    第一条:中止实施2014年3月25日警察局长拒绝法国法轮功协会(法国法轮大法协会)2014年3月27日10点30分到12点30分在乔治五世大街与La Trémoille街交接处集会的命令。

    第二条:命令警察局长让法国法轮功协会,从2014年3月27日10点30分到12点30分,在乔治五世大街与La Trémoille街交接处便道上、中(共 - 译注)国使馆的对面集会。

    第三条:国家以行政法第L. 761-1条的名义,向法轮功协会支付壹千伍百(1500)欧元。

    第四条:请求方的其余陈述被搁置。

    第五条:本法令将发给法国法轮功协会(法国法轮大法协会)及法国内政部长。

    副本抄送巴黎警察局长。

    巴黎,2014年3月26日

    紧急审理法官 法庭记录员
    Doumergue女士 Thomas女士
    签字 签字

    下载PDF判决书全文(232KB)

    <英文版: http://en.minghui.org/html/articles/2014/5/29/1418.html>


    让更多的人知道法轮大法好

    文/海外法轮功学员

    【明慧网二零一四年五月二十四日】法轮大法,也称法轮功,以“真、善、忍”为修炼原则,带给亿万修炼人身心健康和升华。法轮大法弘传世界二十二周年之际,七千多名世界各地的法轮功学员参加了在纽约举办的庆祝活动,他们分享自己修炼中体会到的美好,把真相和福音传播给大众。

    法轮大法太好了

    来自法国的Anita RICHARD,中文名字叫李妮塔。她说:“修炼法轮大法前,我对古老的修炼方法都很感兴趣,曾经学过某种气功。当我移居到瓜德卢普岛居住时接触了法轮功,当时的我以为这也是一种气功而已。通过学习法轮功著作《转法轮》,我发现法轮功不是一般的气功,这是一个性命双修的功法,内外(内心和身体表面)都可以得到改变的。”

    “没有修炼法轮大法前,因为身体不好,我经常会吃很多的不同品种保健品。我一生中在追求一种‘真’的东西。当我遇到大法后,我觉得这就是我寻找多年的‘真’。从此我开始了我的法轮大法修炼。通过学习《转法轮》,实践中我知道了,我的身体健康不必再使用保健品来维护了,只要通过大法修炼自己,按照‘真、善、忍’的法理去归正自己的思想和行为,和坚持修炼五套功法,我就会得到一个健康的身体。我停止了食用保健品,十四年来我的身体很健康。”

    “我还发现修炼法轮功的人与人之间很融洽;大家相处象一个大家庭一样,因为我们的师父告诉我们要按照‘真、善、忍’的原则做一个好人。如果一个人能够按照‘真、善、忍’做一个好人,那么这样的人就非常容易相处的。”

    “修炼大法后觉得大法太好了,我希望有更多的人能够了解大法,所以我经常告诉我身边的亲朋好友法轮大法如何好;也确有很多人因此陆陆续续走入法轮功的修炼。我也向来巴黎旅游的中国游客讲大法的美好,因为我知道,在中国法轮功正在被迫害,被歪曲;我通过自己的修炼体会,告诉他们在中国所接受的教育是被共产党污染的教育,告诉他们什么是真正的法轮功。”

    李妮塔表示:“我非常感谢我的师父。我希望通过在纽约这样的大型活动,能够让更多的人知道法轮大法,知道全世界有这么多的人修炼法轮大法,知道法轮大法好。”

    与世界民众分享法轮大法的美好

    来自比利时布鲁塞尔的尼格拉斯,三十二岁,是一位电脑工程师。他是在一九九九年开始修炼法轮大法的。

    尼格拉斯说,能到纽约庆祝世界法轮大法日,他非常高兴。“我能够感受到整个城市溶于大法美好的能量之中。我也非常高兴我们大法弟子能够得益于大法修炼。今天我们来自世界各地的大法弟子,一起分享我们的快乐和幸福感受。”

    “我们有一个非常盛大的欢庆游行。我觉得对人来说知道法轮大法很重要。法轮大法来自中国,在中国有一亿人修炼法轮大法;现在有很多国家和中国有经济来往,但是他们没有认识到在中国正发生着中共政权针对法轮大法修炼者的残酷迫害。我觉得纽约人来自世界各地,是一个非常特殊的地方,在这里人们可以看到来自世界各地的人参与法轮大法修炼的盛况。我们知道发生在中国的迫害,但是我们更知道大法的美好,我们在纽约这个特殊的地方,与世界民众分享法轮大法的美好。 ”

    分享大法的美好 共同制止迫害

    来自瑞典的瓦西柳斯(Vasilios Zouponidis)是瑞典国王奖获奖者、公司总裁兼经理。他从一九九八年开始修炼法轮大法。“我修炼法轮大法因为我觉得大法的修炼非常好。通过修炼法轮大法,我能够在紧张的当代生活方式中得以放松,工作中没有了不必要的紧张情绪。修炼前胃痛的困扰不再发生。”

    “我这次来纽约参加二零一四年法轮大法修炼心得交流会,同时与来自世界各地的大法修炼者一起,参加一年一度五月十三日法轮大法日的庆祝活动,希望让更多的人能够分享法轮大法的美好,从中受益;我们希望通过活动,让世界人民了解法轮大法的美好的同时,也能够了解发生在中国的,中共针对法轮大法修炼者持续十几年的残酷迫害,共同制止这场持久的残酷迫害。 ”

    感恩

    黄女士来自荷兰,她说:“我和我的女儿一起修炼法轮大法,修炼法轮大法不光我个人受益,我的先生孩子也都受益于大法,原来多病的身体不再痛苦;家庭和睦,身体健康。我自从修炼以来,持续九年,年年参加纽约世界法轮大法日活动。我带着感恩的心,祝愿我们的师父生日快乐!希望世界上更多的人能够和我一样分享法轮大法的美好。”


    公主岭监狱利用“精神病号”迫害法轮功学员

    【明慧网二零一四年五月二十四日】(明慧网通讯员吉林省报道)吉林省公主岭监狱在所谓的康复监区,设立了两个“精神病监舍”,除了关押少部份被狱警和犯人折磨成精神病的犯人,就是狱方弄到这里迫害的法轮功学员。其实监狱根本没有精神病鉴定机构,只要监区教导员以上级别警察说谁是精神病谁就是。

    那些少数的真精神病人,在“精神病监舍”内被强迫“坐板”,从早四点半,一直坐到晚八点。而多数根本没有病的法轮功学员,则被强迫到车间干奴工活。

    “精神病监舍”内有固定床,用来折磨拒绝放弃信仰的法轮功学员以及其他被狱警认为不服从的人。狱警指使犯人头,将受害者强制上固定床,抻成“大”字型,随心所欲的折磨,很多人被抻的四肢麻木,胳膊腿不能动,二零一三年,曾有人从固定床下来,几日后死亡。

    酷刑演示:死人床
    酷刑演示:死人床(固定床)

    在二零一三年,多位法轮功学员被关入“精神病号”折磨:康复监区监区长刘海涌因为法轮功学员李长海打坐,将他关押进“精神病号”内坐板,折磨迫害半个多月。

    康复监区教导员刘立峰以法轮功学员赵永志写严正声明为由,将他关进“精神病号”,用电棍电击他,迫害半个多月。二零一三年十月,法轮功学员刘庆田向法院写申诉书,被犯人特务告发,教导员刘立峰将刘庆田关进精神病号内折磨迫害八十多天。

    酷刑演示:电棍电击
    酷刑演示:电棍电击

    吉林法轮功学员刘宏伟二零零六年十月被绑架,二零零七年被非法判刑十三年,他是坐着轮椅被劫持到公主岭监狱康复监区(现改为八监区)。目前他身体非常虚弱,下肢瘫痪,生活不能自理,整天躺在床上。就是这样,狱方还不放过折磨他。监狱长牛国生、教育科长王志坚、康复监区长晁军、狱警李晨阳等,多次威胁他,用各种手段威逼诱惑他放弃信仰。2014年1月,叫人将他背到教育科,逼着他看诋毁大法录像,安排犹大“转化”迫害他,他被抬回到监舍后好几日不能吃东西,目前情况堪忧。

    二零一二年五月至八月,公主岭监狱搞了一个为期三个月的暴力“转化班”。对赵国星、付洪伟、白晶志、陈连东等十四位拒绝在“五书”上签字的法轮功学员进行疯狂迫害。“转化班”主要打手是监狱长牛国生、改造监狱长刘向武、教育科长李万江、副科长沈雪斌、狱警吕传宝、李景阳、王某、余某(入监队狱警)以及五个犯人等。牛国生、刘向武以“转化”一个法轮功学员赏三千元,刺激狱警疯狂迫害法轮功学员。

    “转化班”被设在教育科的教学楼二楼,狱警将法轮功学员捆绑吊起来,拳打脚踢,绑在“固定床”上用电棍电,不许睡觉, 二十四小时跟随监视,封闭一切消息,威胁、恐吓、欺骗、打、拉结合等邪恶手段残酷迫害法轮功学员。

    监狱长牛国生、刘向武还成立严管队,由狱政科副科长李国辉,狱警徐海、王某及五名犯人打手组成,“转化班”无法“转化”的法轮功学员都转入严管队继续折磨,强迫坐在小窄凳,身体挺直,不许歪斜,不许说话,整天一个姿势,从早上四点半坐到晚上九点,没有休息时间。狱警徐海,王某手持电棍,在地上走来走去,看谁不顺眼,就拉出来电击。几乎每天都有人被电,地狱的魔鬼也没有他邪恶,人性全无。法轮功学员赵国星、付洪伟、王文元、杨宝森等都在这里被迫害过。

    多行不义必自毙,善恶有报是天理。恶警李国辉脑梗塞,三个多月未见好转。恶警刘立峰在体检时被发现患绝症,他内心非常恐惧;不但如此,他作恶还祸及家人,其父被医院检查出癌症晚期后,不久便死亡。

    <英文版: http://en.minghui.org/html/articles/2014/6/6/1526.html>


    公主岭市七旬老人王胜被踢打致大腿骨折

    【明慧网二零一四年五月二十四日】(明慧网通讯员吉林省报道)四月二十六日至二十七日,公主岭市公安局警察在公交车上非法拘捕六位法轮功学员,其中,一位七十多岁的老年法轮功学员王胜不配合恶警,当时被恶警踹折大腿,之后,老人被戴着手铐,扔到一间装有铁栅栏的检查室隔离,遭非人虐待。

    四月二十六日,王胜老人在被非法拘捕的过程中,由于不配合恶警,被一群恶警蜂拥而上,拳脚相加,造成大腿骨折,腿部青肿,大小便困难,老人戴着手铐,被扔到一间装有铁栅栏的检查室隔离。

    由于腿被踢骨折,王胜老人不能站立,只能侧身长时间保持一个姿势,躺在地上呻吟着。面对如此的凄惨状况,恶警却吼道“别喊了……”等无礼之语。在王胜老人提出给其治疗的时候,恶警不予理睬。老人伏在地上呻吟着,时不时给他们讲善恶有报的道理和大法的真相。

    在后面几次到询问室时,一名为首的恶警恐吓道:“非要让你站起来走路不可。”见其折腾一番无果后,该恶警就指使旁边的两位年青恶警,非常粗暴的把老人的身子猛的拖出了栅栏门外,未等站稳,为首的恶警在前面大喊:“快点快点……”,老人上半身象被吊起来,下面双腿低低的拖磨着地面,撕心裂肺的喊叫着,两名恶警最后以飞快的速度把老人拖出了四、五十米远。

    在非法监管期间,恶警不允许老人走动,尤其不允许两人讲话,吃饭喝水无人顾及,有时一天能吃到一至二片面包,连正常的饮食都保证不了。

    四月二十六日下午五点左右,公主岭市法轮功学员陈阳被国保大队和公安特警十余人非法拘捕,随后恶警强行闯入其家中,又绑架了去串门的法轮功学员魏亚文及给陈阳货站干活长春的一位朋友(现已放回),同时抄走的有大量私人物品。

    四月二十六至二十七日,公主岭市公安局非法拘捕并关押六位法轮功学员,其中陈阳和王胜老人,在二十七日晚,被送到看守所非法关押,其他法轮功学员已经回家。


    保定顺平县法院人员枉法构陷刘惠云

    【明慧网二零一四年五月二十四日】(明慧网通讯员河北报道)五月二十二日,保定顺平县法院开庭迫害被非法关押近两年的法轮功学员刘惠云。顺平县检察院人员、国保大队人员违法构陷,证据颠三倒四,而法院人员在整个庭审过程中明显表现就是权大于法,突显中共公检法司人员蔑视法律,穿着司法外衣破坏法律实施。

    首先,法院人员拿法律中的公开审理当愚弄老百姓(纳税人)的工具,堂而皇之的亵渎法律。

    法院人员对外宣称公开审理,所以刘惠云家去了好多亲戚朋友要求旁听。然而,那些工作人员只准许刘惠云一儿一女进去旁听,其他人在法院外一直坐在地上等到庭审结束。只有刘惠云的兄弟,找了一个认识的人才让进去。进去后前三排座位不让坐人,从第四排座开始坐人,而且给家属三个人安排的座是东一个西一个,三个人互相离的很远。其它座位上早已坐好了,一看就是他们自己安排好的人,这些人一直都在玩手机,还有人给他们送水,中午还换班吃饭,他们中也不排除便衣特务在里面。

    其次,国保大队、检察院人员公然使用伪证,知法犯法,明目张胆的穿着司法外衣破坏国家法律实施。

    在前三次庭审时,检察院公诉人把两年前抄家时抄走的资料多少份,公安人员赵楠两年前曾经从刘惠云家抄走资料,具体多少份记不清了,并说那些资料已经烧了,而在这次庭审中,赵楠说当时抄了多少多少份。大家都知道一个理:对于人命关天的事,特别的公安机关,对这些东西都是要记录在案的,非常确定了才能说的,可是检察院和国保大队人员却翻手云、覆手雨。而且说晚上11点抄家,10点多回到家,他们的时间居然是倒着过。

    此外,公安干警当证人,在法律上是不允许的,在全国也是闻所未闻的事,却发生在了保定顺平县的法院神圣公堂上。

    法律在民主国家是非常神圣庄严的,法律工作者也是一种非常让人尊敬的职业,而在中国,很多正义人士特别是法轮功修炼者经常被扣上破坏法律实施的罪名,然而从上述表现看,真正破坏法律实施的正是中共这些穿着司法外衣的司法人员。如果一个国家的法律被法律实施者玩弄于股掌之上,可想而知,这个国家的公民会被逼成什么样?这个社会会变成什么样?没有一点安全保障,在高压自保中不知不觉的被奴性化,不知不觉中不再分辨是与非。

    在此,严正提醒还在盲目参与迫害法轮功的顺平县公安司法人员,你们真得好好审视一下自身的处境了!你们的迫害行为受不受法律保护?相信你们已很清楚:一定会受到国内和国际上的追究。你们所谓的“执行公务”能不能保护自己不受追究?中国现行法律明确规定:公务员执行上级的错误指令、命令,构成犯罪的,要追究刑事责任,而且刑事责任是终身追究的!

    在当前迫害法轮功的惯性下,谁还不及早清醒,谁还在盲目继续行恶,很快就会成为中共恶党内部清洗的对象,即使能逃过内部清洗,也决对逃不过正义民众和国际力量的追究。

    <英文版: http://en.minghui.org/html/articles/2014/6/4/1497.html>


    中学教师又遭绑架 患病家人无所依

    【明慧网二零一四年五月二十四日】(明慧网通讯员吉林报道)吉林省农安县法轮功学员王忠玲、郭红霞二零一四年五月十五日下午外出讲真相,在欧亚广场被古城派出所警察绑架。王忠玲的丈夫身患脑血栓,生活不能自理,妻子被绑架后生活艰难。

    王忠玲,女,五十一岁,农安县开安镇中学教师。一九九七年开始修炼法轮功,身心受益匪浅。然而在一九九九年七月中共发动对法轮功的迫害后,她遭到肉体、精神及经济迫害。

    迫害开始后,开安中学校领导开全校职工大会,逼迫王忠玲等十名修炼法轮功的老师在印好的纸单上签“不炼功,不上访”等保证。一九九九年十月,开安镇政府和开安中学领导又以到镇政府开会为名,把她们的身份证骗走,交给派出所。

    二零零零年正月初九,王忠玲到北京,要为法轮功说句公道话,在天安门广场被警察绑架,身上带的七百多块钱在驻京办被人员抢去,后被非法关押在农安县看守所三个月,期间遭受“站大字”,“开飞机”等酷刑迫害,出狱时被勒索伙食费两千元。

    王忠玲回家后,单位不让她上班,工资停发,并派单位同事赵淑华、张振江、陈义武监视。

    二零零零年十月三十日,王忠玲再次进京为法轮功鸣冤,在北京天安门广场喊出“法轮大法好”,这次她被绑架回农安县回后,被非法劳教一年。在长春黑嘴子劳教所期间,她被狱警电棍电击,每天被迫劳动十二小时左右,每月所谓的工资只有六块钱。她拒绝放弃“真善忍”信仰,非法劳教期满后又被延长迫害六十天。

    二零零一年末,农安县教育局利用教育界整改,逼迫所有老师签不炼功的保证,不签的就下岗回家。就这样,在无任何法律依据、无任何相关手续下,王忠玲的工作几分钟之内就被剥夺了,工资也不知去向。此后王忠玲到处打工,生活艰难。

    二零零二年八月十一日,开安中学老师陈义武找到王忠玲家,企图把王忠玲诱骗到农安县洗脑班,王忠玲被迫流离失所三个多月,期间派出所在她家蹲坑数日,二零零二年末王忠玲回到家第二天就有警察上门。

    二零零六年十月十日晚,王忠玲在啤酒厂家属楼附近粘贴法轮功真相,被黄龙派出所雇佣的蹲坑人员绑架、抄家,后又被非法劳教两年。在长春黑嘴子女子劳教所遭受各种迫害,非法劳教期满时,又被加期迫害五十天。

    二零一四年五月十五日下午,王忠玲和法轮功学员郭红霞外出讲真相,在欧亚广场被古城派出所警察绑架。郭红霞曾于二零一零年一月二十日在讲真相、劝三退时被便衣警察绑架,后被劫持到长春市黑嘴子女子劳教所非法劳教。

    王忠玲的丈夫身患脑血栓,生活不能自理,王忠玲每日精心照料,使病情日益好转,现王忠玲又被绑架,其丈夫生活艰难。

    <英文版: http://en.minghui.org/html/articles/2014/6/6/1527.html>


    湖北省黄梅县法轮功学员袁记余被绑架

    【明慧网二零一四年五月二十四日】(明慧网通讯员湖北报道)五月十五日上午十时左右,湖北省黄梅县法轮功学员袁记余在家门口晒麦,突然来了一辆黑色轿车,从车上下来三个便衣,二话不说,一拥而上,将袁记余按倒,强行拖进轿车,快速向县城方向开去。

    当时袁记余身上只穿件短袖衬衫,其妻在后院洗衣服不知道,洗完后来到门口才听邻居告诉刚才发生的事。儿子和媳妇都在外地打工,家里只有六十多岁的妻子和两个不满六岁的孙子。袁记余被绑架至今已过一周,音讯全无,其妻整日以泪洗面。

    袁记余今年六十六岁。九七年开始修炼法轮大法,病痛全消,十七年来身体健康,无需去看病、无需吃一片药,一直按“真善忍”原则做人,在邻里中口碑甚好,曾被选为队长。

    据悉,参与绑架的三人中,有两人似县国保大队的陈云岳和黄伟,另一个是孔垄派出所警察。恶警陈云岳、黄伟近年来作恶多端,2012年5月10日绑架法轮功学员戴美霞,后又绑架过法轮功学员吕华良,还逼死过蔡山镇法轮功学员刘贵荣,前月还越界到九江绑架幼儿园园长谢金平。经他两人绑架的法轮功学员尚有四人仍然被非法关押。

    <英文版: http://en.minghui.org/html/articles/2014/6/7/1541.html>


    广东副处级干部颜明霞博士被绑架

    【明慧网二零一四年五月二十四日】(明慧网通讯员广东报道)二零一四年五月二日,民盟广东省委副处级干部颜明霞博士,因向民众赠送弘扬中华五千年传统文化的神韵晚会光盘,遭广州荔湾公安分局金花街派出所绑架,随后,颜明霞的工作单位和住宅被非法查抄,包括电脑在内的私人物品被抢走。颜明霞博士目前被非法关押在广州市荔湾区看守所。

    颜明霞博士
    颜明霞博士

    颜明霞,一九六八年出生,贵州铜仁人,苗族,二零一零年获四川大学文学博士学位。现任民盟广东省委参政议政处副处长,贵州民族大学传媒学院副研究员,民族学专业硕士生导师。

    颜明霞的研究方向是文艺美学,在大学担任《文化产业研究》、《中国现当代文学》等课程的讲授。她热爱中华文化,对剪纸、粤剧、岭南画派等中国传统的非物质文化遗产都有着自己深刻的领悟和独到精辟的见解,并在核心刊物上发表了多篇学术论文进行交流。为了保护这些珍贵的文化遗产,唤起民众对中华民族文化的热爱,在大量研究和考证的基础上,颜明霞主编和编写了《广东非物质文化遗产丛书》之《剪出春秋(广东剪纸)》,详细论述了佛山剪纸的起源、艺术特点、与粤剧等岭南文化的关系及其产业化传统特点。挖掘文化瑰宝,凝聚奇思妙想,洞察社会幽微,守护精神家园。

    颜明霞的作品《剪出春秋(广东剪纸)》
    颜明霞的作品《剪出春秋(广东剪纸)》 二零零九年二月广东教育出版社出版

    颜明霞以传播中华神传文化为己任。弘扬中华五千年传统文化的神韵艺术团,超越了语言、文化、地域、种族的障碍,将几近遗失的中华五千年神传文明的神圣与辉煌重现世界舞台,被誉为“百年难遇的文化奇观”,让海外华人倍感自豪与骄傲。颜明霞觉的自己有义务向民众介绍神韵、推广神韵,帮助华夏儿女找回真正属于自己的民族文化。然而助人的善举却成了中共迫害的证据,颜明霞因此被非法关押。

    请正义人士关注颜明霞博士的安危,帮助她重新回归大学讲台。

    <英文版: http://en.minghui.org/html/articles/2014/5/28/1398.html>


    云南法轮功学员马燕被国保警察诱骗绑架经过

    【明慧网二零一四年五月二十四日】(明慧网通讯员云南报道)昆明发电厂退休职工、法轮功学员马燕女士,4月20日被昆明市五华区国保大队马迎晖诱骗、绑架,被非法拘留在昆明第一看守所。

    2014年4月20日,昆明市五华区国保大队马迎晖通知马燕,下午4点30分到昆明虹山派出所拿侄女张稷(滇池实验小学教师,19日在石林被绑架)的钥匙钱物等东西。

    马燕的弟弟和弟媳听说后陪她一块去。去了找不到,又叫到茭菱派出所,原来是设计绑架。马迎晖带来两个警察(警号013125和012590),把马燕带到询问室。又来了三男一女,着便装,他们就是当天中午闯入抄家的人,说他们是五华分局的,要她“配合调查案子”,其中一人打开挎包,随手现开了一张传唤通知单。

    看着这情景,拿东西变成了抓人。马燕的弟弟急忙打通市长专线(0871-12345)反映此情此景。接听者说:“我会及时转告有关部门调查此事”。

    当问到要“配合”到什么时候?回答是:我们在24小时内是合法办案。

    到了晚上9点半,一个自称五华分局督察大队的赵警官,代表市长专线来回答反映的情况。他说:他们按法律程序对马燕进行传唤,程序是合法的。问:在所谓合法程序下的那些行为是否合法?答:具体行为的合法问题要看情况;对办案人员及有关公安机关有异议,可以提起行政诉讼等。

    马燕家人又向派出所要人,回答说:马燕回不去了,要送虹山派出所。家人在门外车上等待时,听到马燕嘶哑的喊叫声:“我要回家,你们这群骗子!”看见两个保安拽着她的胳膊,拖出大门。弟弟下车奔过去,警察就动手推他,并被警告“不要妨碍公务”!

    不法人员们顺小路把马燕拖着走。马燕的弟媳拿着手电筒紧跟其后,眼看着这群人把她拖进了红山派出所。打电话(0871-64145979)询问,才知当晚就拘留在昆明第一看守所,拘留通知将通过邮寄通知家属。

    <英文版: http://en.minghui.org/html/articles/2014/6/9/1568.html>


    新疆阿克苏地区非法组织“610”的罪恶

    【明慧网二零一四年五月二十四日】(明慧网通讯员新疆报道)所谓的“610办公室”是中共江泽民一伙于一九九九年六月十日为迫害法轮功而专门成立的非法组织,类似纳粹盖世太保。新疆维吾尔自治区阿克苏地区“610办公室”、国保大队及公安局、派出所、街道办事处等相关人员多年来对法轮功学员及其家属们犯下的罄竹难书的罪恶,仅举几例。

    除了网上曾报道过的被迫害致死的法轮功学员曹爱华、谢志英等外,还有:

    阿克苏市库车县有一位年轻女学员张丽(1981年生),2007年或者2008年在被“610”恶徒劫持往乌鲁木齐洗脑班途中,走脱时跳火车身亡。

    阿克苏市法轮功学员巩新萍(音),炼功前双腿瘫痪,炼功后恢复健康,曾被非法劳教过,后被610及街道办事处人员多次骚扰,“610”人员因为怀疑她会上网,胁迫其家人监视她,其被邪党文化毒害很深的丈夫迫于压力,每日寸步不离左右监视,后2011年年底巩新萍因脑溢血突发昏迷住院,后于2012年4月5日离世,时年60岁左右。

    2011年8月,继原地税局干部、法轮功学员谢志英被迫害死后不久,她的80岁高龄的母亲袁景云(也是学员)和哥哥谢志明(也是学员)被强行分开限制居住,袁景云孤身一人先在乌什县国税局原工作单位被画地为牢,后被强制送到敬老院,并于2014年1月20日左右因病离世,时年83岁左右。

    多年来,逢年过节或有同修被抓迫害后,阿克苏地区非法组织“610”办公室人员动辄通知所谓的重点监控学员去查问近况,或是假以小恩小惠形式的伪善迷惑学员;或变相威胁警告学员,他们对学员的情况都了如指掌,尤其疯狂迫害会上网的同修等。

    阿克苏的“610”非法组织人员多年来还将法轮功学员反复多次劫持到洗脑班迫害。阿克苏市的扬子水都二分店和迎宾馆就曾多次提供场所给“610”办洗脑班迫害法轮功学员。2013年5月,乌鲁木齐第五监狱狱警张勇军,曾到阿克苏市洗脑班参与迫害法轮功学员,法轮功学员安劲松被劫持到洗脑班期间被野蛮殴打。

    阿克苏市“610”主任办公室:0997-2123238

    新疆阿克苏市国保大队:0997-2641927

    阿克苏市扬子水都2分店(2分店电话:0997-2654321
    地址:阿克苏市稻香街2号 邮编843000
    1分店电话0997-2123456 阿苏克巷步行街30号 3分店
    电话:0997-4567890 阿克苏市稻香街2号
    人事招聘电话13070020090 13325512539 13779407600 18196321036)

    阿克苏市迎宾馆:
    地址:阿克苏市小南街1号 邮编843000
    电话:0997-2123147、2124148传真0997-2123340

    有个站长的姓名可能几天后会打听到,如果可以有了再告诉你们。

    <英文版: http://en.minghui.org/html/articles/2014/6/17/1681.html>


    曝光大连瓦房店市穿着警服的黑老大侯俊

    【明慧网二零一四年五月二十四日】“这里是新装修的,隔音好,你怎么叫都没有用。”密室中一个男人正对着一个七十多岁满头白发的老大娘大声吼道。

    电视电影中黑社会绑架勒索人的场景一定会浮现在人们的脑海里。确实,一位慈悲善良的老大娘被绑架了。这老大娘一定有钱吧?绑匪是个穷凶极恶的无业游民吧?人们不免会有这样或那样的猜测。

    都不是!大娘是一个孤寡老人,没钱没势。绑匪呢?既不是无业游民,也不是过去山里的胡子,而是身穿警服、头戴大盖帽的所谓“人民警察”。而这惊恐的绑架的事情,自从一九九九年七月中共江泽民集团迫害法轮功以来,在我们中华大地上就一直没有间断的发生着,绑匪一直是“人民警察”,而被绑架的却是什么阶层、什么年龄、什么职业都有的一群信仰真、善、忍的好人。

    这里曝光的就是辽宁省大连市瓦房店市政经保大队的侯俊,此人是多次主谋并亲自参与绑架修炼真善忍的法轮功学员的恶人之一。

    二零一二年七月六日上午八点左右,法轮功学员宋彩萍老人正走在瓦房店长兴购物门前,突然一辆车停在她的身旁,车门开开就有人推她上车,司机拽着她的头发往车里拽,两外两个人在外面往车里推,把宋彩萍好不容易推搡拽扯到车里。

    宋彩萍就问:“你们是谁?为什么抓我这个孤身老人?”对方回答:“我们是恶人。”宋彩萍问:“你叫什么名字”答:“我叫李刚(实际是侯俊)。”宋彩萍问:“为什么绑架我?给我往哪儿拉?”

    到了一个地方后,侯俊说:“这儿是新装好的密室,隔音好,你怎么叫都没有用。”与此同时,他们把宋彩萍老人包抢下来,拿走一千元的现金,找到宋彩萍家的钥匙,之后另外一帮人就在没有通知任何家属的情况下非法闯入宋彩萍家进行抢劫,抢走私人财物:电脑三台、新旧打印机六台、手机三个、切纸刀三个、装订器三个、MP5一个、小铁墩一个、压膜机二个、大法书若干本、A4纸五包、空白光盘一箱、铁釜一把、法轮大法创始人像、现金一千四百元,共合计二万元价值的物品及现金。

    在隔音密室中,侯俊对宋彩萍老人进行非法审讯,其间老人听到有人在叫侯俊的名字,开始所谓自称李刚的人,大声应答,才得知他的名字叫侯俊。侯俊还拿出十多张相片让宋彩萍看,结果发现相片上照的都是宋彩萍家里的环境。宋彩萍问:“你们怎么进的我家?怎么照到这些照片的?”侯俊却笑着说:“我们是干什么的?我们已经跟踪你很长时间了。”

    宋彩萍问道:“你跟踪我这么长时间发现我犯什么罪了?是偷了还是抢了?”侯俊无言以对。其间听到有人问到:“今天普抓还抓不抓了?王林凯已经抓来,还有谁谁谁,没在家,没有抓到。”可见此次绑架是有计划、有预谋的要进行大规模的绑架。结果真是如此,整个大连地区在七月六日这天发生了令人痛心的大规模绑架法轮功学员的恶性事件。

    到了傍晚的时候,侯俊一行人把宋彩萍拉到瓦房店妇婴医院,说是要体检,宋彩萍不配合检查,要求立即释放,结果侯俊就亲自动起手来,用自己的膝盖顶住宋彩萍的肋骨,他亲自用针扎宋彩萍的手来取血,就算是体检了,然后就把宋彩萍送到大连姚家看守所非法关押。

    一个月后,即八月六日时,瓦房店的公安去了二个人(具体名字不详),把宋彩萍叫到看守所的走廊里,给了宋彩萍一张释放证,同时要挟宋彩萍给钱就放,宋彩萍没有答应给钱,结果又把宋彩萍关进去了。释放证却在宋彩萍的手里。

    到了九月六日,又是上次的那两个人,仍用上次的方式,给了释放证后,要求给钱就放,宋彩萍仍然没有答应,结果又把宋彩萍关进去了。释放证仍然在宋彩萍的手里。也就是说宋彩萍的手里有两张释放证,老人想我得好好保存好,这是以后控告他们犯罪的证据。

    又过了半个月,他们又来,看宋彩萍还是不给钱,就把老人又送进去。十五天后,他们非法劳教宋彩萍二年,发往沈阳马三家教养院。此时宋彩萍老人再找那两张释放证,却怎么找也找不到,不知什么时候他们指使同监号的犯人把这两张释放证给偷走了。

    送到马三家,因体检不合格,宋彩萍老人被当天放回家。现如今老人的家被他们当初翻腾的不像样子,已经不值得居住了。

    和宋彩萍老人同一天被绑架的还有瓦房店市龙山小学优秀教师王林凯,办案人也是侯俊,当天也被送到看守所迫害。

    二零一二年八月九日,法轮功学员王林凯被非法劳教,侯俊参与将王林凯劫持到大连矫治所迫害。 王林凯被迫害致奄奄一息,家人心急如焚。十一月十五日上午九点左右,王林凯的妻子、姑姑等三人到瓦房店公安局找侯俊要人及被抢劫的财物,侯俊不但拒绝,还在光天化日之下揪王林凯姑姑的头发,脚踢王林凯的妻子,并恐吓“揍死你”。

    在二零一二年六月十三日,一群大连网警伙同瓦房店市公安局政经保大队侯俊、新华派出所把正在家中做家务的法轮功学员殷红梅强行架走,绑架到大连姚家看守所,在此期间,侯俊陪同家属到大连姚家看守所对殷红梅进行承诺诱供,结果非法判殷红梅四年,给上中学的孩子、有病在身的公婆及整个家庭造成无法形容的痛苦与损失。

    侯俊私自在民众家门口安装摄像头,监视民众的日常生活行为,监听民众的电话,这种行为是完全侵犯了民众的合法权益。

    以上所述只是侯俊参与绑架事例中的几个,他充当绑匪角色绑架法轮功学员的事件不止这些,因篇幅有限,就不再一一叙述。曝光侯俊恶行的目的是,为了制止他继续行恶、害己害人。现今发生在中国大地上中共高官、警察、法官等得到各种各样形式恶报的事例比比皆是。被判刑入狱的王立军就曾心知肚明地说:“自己就是一块口香糖,被人嚼完之后,吐在地上,说不定就被谁踩在脚下。”是的,他就是薄熙来嘴里的一块口香糖,而薄熙来同样是江泽民嘴里的一块口香糖。其实所有被中共利用的人都是一块被中共嚼过的口香糖,随时都会被吐出而被人踩在脚下。(注意:中国≠中共,中共是西来幽灵的化身)

    再说,迫害修炼佛法的人,都是在做一件很大的恶事,老天爷绝不会放过那些参与迫害法轮功学员的人。法轮功,也称法轮大法,又称法轮佛法,修炼的人都在按着真、善、忍的法理在做好人,做更好的人,不断地提高自己的道德,升华自己的境界,以一个祥和的心态对待社会及周围的一切,所以于国于民有百利而无一害。正因为此,所以法轮大法得以洪传全世界一百多个国家与地区,并且世界各地许多城市都设有法轮大法日、法轮大法周、法轮大法月。

    这场对法轮大法修炼人的迫害令天地为之震怒。像侯俊这样的小小基层警察,当务之急不要再炫耀自己充当绑匪绑架好人时那气势汹汹、我是流氓我怕谁的派头,不要再为了暂时的眼前一点既得利益,就失去理智的、不计后果的替中共卖命。快快醒悟吧,为了自己及家人,赶快悬崖勒马,将功补过,才会有好的未来。

    <英文版: http://en.minghui.org/html/articles/2014/6/29/1835.html>


    发生在老母亲身上的变化

    文/河北大法弟子

    【明慧网二零一四年五月二十四日】我母亲九十多岁了,可谁站在我母亲面前都不相信她有这么大岁数,都说看上去像是七十几岁的人。的确,与她同龄人比较年轻许多,满面红光,皱纹很少;说话声音洪亮,底气十足;耳不聋,眼不花,有时穿针引线不戴眼镜还能行;思维敏捷,记忆力还挺强,唠起往事记忆犹新、历历在目,人们送她绰号“老太君”。有人要问起她怎么越活越年轻、越硬朗了,她就情不自禁的告诉人家:这是我天天念“法轮大法好”、“真善忍好”得福报了。

    从我记事起,就没看见过母亲身体健康是什么样子,由于长期面对母亲被多种疾病折磨的死去活来、痛苦不堪的样子,极度的担心和恐惧成了我的习惯,做饭、喂猪、刷碗等一切家务,也成了我从小到大摆脱不了的负担。记得那时候,母亲在绝望、无助中常说两句话, “我哪辈子缺了大德了,老天爷这么惩罚我。”时而又说:“人不用修好,修好不得好。我这辈子尽修好了,反倒让我活受罪。”当时我也弄不懂哪种说法正确或不正确,直到我走入大法修炼,才明白了人为什么会有病、吃苦、遭罪的真正原因。

    我和母亲一样,也是很年轻时就百病缠身的。通过炼法轮功全身的病都好了以后,我就急不可待的回家与母亲分享我修炼大法无病一身轻的喜悦,并把修心向善,重德才能好病的道理讲给她听。母亲虽然感到惊讶,但也不太相信,还是固守着“修好不得好”的观念不肯放弃。

    随着我对大法法理的认识不断加深,就萌发了改变母亲这一错误观念的念头,觉得只有大法才能打开母亲的心结。于是,我有空就和母亲一起学法、与母亲交流,用她能够理解、能够接受的浅显道理开导她,告诉她“修好不得好”的说法不对,老天爷是绝对公平的,做好事做坏事日后都会有报应的,善恶有报是天理。人只能知道(记得)这一生一世所做的事,而前生前世、生生世世你都做了什么,人根本就不知道。您这辈子所吃的苦、遭的罪,都是在还前生前世欠下的债,可能您前世做了许多不好的事吧。幸亏您这辈子这么心地善良,孝敬父母与公婆,善待他人,扶危济贫,忍辱负重,不计他人之过,因而给自己积了许多德,不然的话,说不定比这还惨呢,恐怕都活不到今天。

    母亲听师父讲法听的时间长了,再加上我常在她耳边重复这些话,她渐渐的明白了,心结打开了,心情也开朗了,再也不说那样的话了,不知不觉中身体的病也好了许多,还经常帮我做一些力所能及的家务,说是好多给我腾出点时间来做大法的事。

    在邪党开始迫害法轮功的时候,母亲听到邪党栽赃、污蔑师父与大法的谎言,气得直骂邪党黑白颠倒、不知好歹,并告诉身边的人不要相信电视里宣传的假话,法轮功根本不是它瞎说的那样。在我被迫害的那些日子里,母亲作出了许多令人惊讶和佩服的正义之举。二零零一年我被绑架、抄家的时候,警察在外屋翻,母亲就急忙把放在里屋的大法书和真相资料揣在自己的怀里、藏在自己的被子后面,因此保住了这些大法书和真相资料,减少了很多损失。母亲去洗脑班看我时,面对610 人员的无理行为,说他们是土匪行为,比当年的日本鬼子还恶;我给人讲三退(退党、团、队)的时候,不论是熟人还是陌生人,母亲都会帮着说几句,并用自己的亲身经历和见证揭露邪党的谎言和迫害好人的罪行。

    默念“法轮大法好” 、“真善忍好”,成了母亲每天必做的事情。母亲虽没有正式走入大法修炼,但由于坚信和常念“法轮大法好”,危难之时,首先想到的就是师父、大法,还帮我做许多证实大法的事,因此,得到了很大的福报,师父多次保护她逢凶化吉、转危为安。三百度的老花眼,现在戴一百五十度的眼镜正好;二十多年的很严重的老年性便秘,一直靠吃药维持着,现在基本正常了;患了好几年的内烧病症、肚子肥胖,体内象被一盆火烤着,体表温度一点都不高,盖厚被子内热受不了,盖薄被子表面身体又冷得受不了,想活动活动吧,肚子又太沉,本来就够她受的了。前年秋天,突然的又添上大便便血,肚子剧烈疼痛,大约有一个多月,先是便少量的血,然后便的就全是鲜血,也吃不進东西,眯眼不睁,去医院检查,什么也检查不出来,说没病。人都这样了还说没病,大家都很纳闷,谁都以为这人肯定不行了,熬不过去了。可是,后事都准备好了,突然出现了奇迹,便血止住了,睁开眼说想吃饭,不长时间好起来了,吃饭、睡眠都很正常,人精神了很多,发现内烧的症状消失了,肥胖的肚子瘦下去了,原来裤子的腰围宽松出五寸多,翻身、起卧、走路格外轻便、灵活。

    母亲深知,发生在她身上的神奇变化,全是托法轮大法的福,是李洪志师父的恩泽。她非常感谢大法,感谢李洪志师父,也非常希望中国大陆的同胞们,赶快从诬蔑法轮功的谎言中走出来,用心了解法轮功是多么的神奇、伟大与超常,诚心敬念“法轮大法好”、“真善忍好”,都能沐浴法轮大法的浩荡洪恩。

    <英文版: http://en.minghui.org/html/articles/2014/6/4/1498.html>


    辽宁东港国保恶警王元军、徐永和遭恶报

    【明慧网二零一四年五月二十四日】(明慧网通讯员辽宁报道)东港市公安局恶警徐永和、王元军仇恨法轮大法,仇恨信仰“真善忍”的法轮功修炼者。在中共迫害法轮功十五年中,他们积极充当打手,一直参与绑架修心向善的法轮功学员,现已遭天惩。

    恶警王元军恶报死亡 妻子患脑癌死亡

    王元军,男,五十多岁。法轮功遭迫害之前,王元军任东港市开发区公安分局副局长;二零零一年任公安局政保科副科长;约二零零七年前后,他妻子患脑癌死亡,他本人被降为国保大队的一般科员,二零一三年春天,患喉癌死亡。王元军迫害信仰“真善忍”的好人,不但自己受到天惩,还殃及了家人,现已家破人亡。

    一九九九年七月二十日,中共江泽民政治流氓集团打击迫害法轮功开始后,王元军为捞取政治资本,积极充当中共打手,迫害法轮功极其卖力,屡次参与非法抄家、绑架、酷刑折磨法轮功学员。就连除夕晚上,王元军都要到住宅区、楼群的楼道里去收缴法轮功真相资料,盯梢抓捕发资料的法轮功学员。

    二零零一年春天,王元军与政保科长润龙带领警察到孙桂芝家非法抄家。孙桂芝给二人讲法轮大法救人的真相,劝他们不要迫害好人,害了自己,还会殃及家人。二人置之不理。

    孙桂芝心里着急、很难过,质问他们:“如果法轮功有一天平反了,你们不后悔吗?”王润龙回答:“只要共产党在,法轮功永远不会平反。”王元军回答:“平反了,我也不后悔。”由此可见,王元军早已为自己掘好了坟墓。

    恶警徐永和遭恶报半身不遂

    从一九九九年七月二十日中共打击迫害法轮功开始,徐永和一直参与抄家、绑架迫害法轮功学员。任合隆派出所所长后,更是有恃无恐。合隆镇法轮功学员石金英被非法劳教迫害致疯(至今也未恢复正常),与徐永和有直接关系。调到东港市国保大队以后,徐永和更加没有良知和人性。

    二零零九年十二月二十二日,东港市公安局在丹东市“610”、丹东市公安局的直接操控下,东港市公安系统与丹东国保支队联合,在丹东、东港市两地同时大面积绑架法轮功学员。法轮功学员于淑新同日早晨被徐永和等多名恶警绑架。于淑新被拉到花园派出所非法审讯到下午五点钟,身体和精神受到极大伤害。

    徐永和等人将于淑新拉到丹东振兴区肛肠医院强行体检,后拉到丹东看守所。看守所狱医看了体检结果后,说于淑新心脏不好,不符合关押条件。徐永和说于淑新是装出来的,逼着看守所狱医再做一次心电图检查,检查结果一样。徐永和还不罢休,又逼着狱医给于淑新做了一次心电图检查,检查结果还是一样,看守所还是不收。

    徐永和见此招儿不成,又换了一招,用哀求的语气说:“都这么晚了,我们还没吃饭呢,还是收了再说吧。”所长戴晓明说:“要收的话,你得写个‘生死保证书’,出现问题我们不负任何责任。”

    徐永和听后,马上打电话给他上司。放下电话后,徐永和提笔写了一份保证书。所长戴晓明看后说:“不行。你写的是‘保证书’,我要你写‘生死保证书’,出了问题,我们一概不负责任。”徐永和又在“保证书”这三个字前面添上“生死”两个字。于淑新就这样在身体高危状态下被强行送进看守所。

    徐永和屡次参与绑架迫害修心向善的法轮功学员,且不择手段,其目的是想捞取政治资本,同王元军一样,均是竹篮打水一场空。二零一四年四月,徐永和在对法轮大法的疯狂作恶中倒下了,现已半身不遂,终于受到上天的惩罚。

    上面所述的只是恶警王元军、徐永和在迫害法轮功中所犯罪行的冰山一角。

    在中共迫害法轮功十五年中,东港市公安系统人员在中共“610”非法组织操控下,在光天化日之下,非法抄家、抢劫,大批法轮功学员及亲朋被他们绑架、关押、劳教、酷刑折磨、罚款,许多法轮功学员被迫害得流离失所、妻离子散、家破人亡。法轮功学员一直不停地给他们讲述法轮大法的真相,许多人明白了真相,不再参与迫害,有的还能利用自己工作之便,在暗地里保护法轮功学员。但仍有部份人不听劝善,视法轮大法的慈悲为儿戏,执迷不悟,一意孤行。恶警王元军、徐永和就是其中之一、二。

    “善恶有报”是宇宙的法则,是谁都抗拒不了的天理。所有不听劝善,不思改悔、不停止迫害的中共亡命之徒,最终都没有好下场。


    耐心讲真相 善心唤良知

    文/大陆大法弟子

    【明慧网二零一四年五月二十四日】有一次,我打通一个电话:“喂,您好,占用您几分钟时间,想告诉您一件很重要的事,您知道三退保平安的事吗?”对方一言未发,挂断电话。

    可能觉的不解气,他又发来一条短信:再打电话我就拨110报警。我当时正和另一个人通话。我决定冷处理,暂时没理他。他可能觉的还不解气,又发过来一条骂人的短信,骂的话非常难听,最后用“哈哈哈……”结束短信。我决定不立即和他往前顶,还是没理他。

    隔了一天,第三天晚上,我给他发了一条短信:“您也有父母,您也有姐妹,您也有儿女,您觉的用那样的语言对待一个告诉你真相,让你在大淘汰时得救的人,合适吗?”同时,我发出强大正念:清除障碍世人得救的邪恶因素。让他接、听、退。他马上回信:“我不认识你呀。”原来他骂完人竟把这事给忘了。

    我把电话打过去,我说:“前天晚上,想告诉你三退保平安的那个人。”他“噢”了一声,没再言语。我看他没挂断电话,我赶紧给他讲了法轮功的基本真相,讲了大法在祛病健身,道德回升的效果。这时,他说:“我要吃饭了,一会再聊。”“好。”一个小时以后,我又把电话打过去,刚说了几句,他说:“我有点困了,明天再聊吧。”“行。”

    师尊讲:“对常人的态度误解不要计较,只为救人、救众生,我想那个效果就能改变一切。讲真相中你的心要是被常人心带动了,就什么也做不了了。”[1]我想只要他接电话,我就不会放弃讲真相。

    次日晚上,大约在他吃完晚饭的时间,我又拨通了电话:“喂,您好,现在有时间吗?”“有,想说啥说吧。”于是我从自己体弱多病,修炼不到四个月就无病一身轻讲起。法轮大法给每个修炼者及家庭带来了福音,因此修炼者日众,发展太快,惊动了小肚鸡肠的江××,非要无理打压,找不到理由就编、骗!于是,我给他讲了“四二五”万人上访的缘由。天安门自焚的真相。又讲了贵州藏字石,天要灭中共。最后我说:“我们大法修炼者不惜一切代价,放下生死,无私奉献,自己出钱出力刻光盘,印小册子,为的是告诉世人人类大淘汰时免于随共产党一起做陪葬,三退保平安。我们错了吗?我们是对世人无故骚扰吗?”对方“啊”了一声,没说话。

    我问:“您入过党吗?”“没有”“团呢?”“上学时入过,那不退了吗?”“那个退是共产党承认的,要发自内心的退,得到神的认可才行,将来神按党团队的印记清算共产党,就与你没有关系了。你只要心想一下就行,神看人心。对你其它没有任何影响,给你起个化名叫‘明福’吧,你终于明白了真相,将来会得福报的。”“谢谢!”“不用谢我,谢我师父吧。”最后我告诉他记住“真善忍好,法轮大法好”。

    就这样,一波三折,三起三落。最后在师尊的加持下,终于使这个人良知复苏,得到救度。

    注:
    【1】李洪志师父经文:《各地讲法十》〈曼哈顿讲法〉

    <英文版: http://en.minghui.org/html/articles/2014/6/9/1567.html>


    师父安排有缘人听真相

    文/大陆大法弟子

    【明慧网二零一四年五月二十四日】四月十一日早起我家水管子突然就坏了,漏水了,其实很简单,但我丈夫怎么也拧不下来,他觉得奇怪,当时他着急上班,我说你走吧,我想办法。

    我打电话给妹妹,让她帮我找人修理,过会妹妹打来电话说你在家等着,过半个小时某某就去了。我也没想太多,过一会真的来了。了解情况后,他很自信的说,没事,几分钟就好。我说是我没有工具,其实就把管拧下来,换一根管就行了。他说是,但是他拧了一会还是拧不下来,他说真的怪了,也就两三分钟的事,怎么就拧不下来呢?当时我恍然大悟,是师父安排有缘人听真相。

    我就发正念清除干扰他听真相的一切邪恶因素。我就给他讲了三退的事,他说我没听说过,说他对某某党没有好感,我才不信它,就信自己,说他不是党员、团员。我说戴过红领巾没,他说戴过。我说那你就退出它,远离它,这是一份不花钱的保险,宁信其有,不信其无,那大姐帮你退了吧。他说行,退了。我说退了保平安,与某某党有关的天灾人祸都找不到你,祝你一生平安。

    我的话刚说完,他一下子就把管子拧下来了。讲真相前的时间,拿锤子锤,拿火烧,拿锯锯,怎么也没下来。他说真奇了怪了,两三分钟的活,干了二十几分钟。我心想就是师父要救你,让我讲给你真相救你。当时我的心情轻松了很多,又一个生命得救了。我说了几句客气话,他就走了,给他修理费也没要,说:有事打电话,我着急今天很忙。

    师父要不安排这二十分钟,要是几分钟,我就没有机会讲真相了,谢谢师父。大法弟子心在救人上就会有奇迹出现,通过这件事,我想大法弟子一定要珍惜身边的事和有缘人,时时刻刻记住大法弟子的三件事,不能走旧势力的路,一定正念正行走好,走正最后的路。全盘否定旧势力,走师父安排的路。


    带着小孙女讲真相

    文/大陆大法弟子

    【明慧网二零一四年五月二十四日】最近我发现,有的同修因带孩子而影响自己出去救度众生的现象,使我回想起自己曾经带着孙女救度众生证实法的经历,在此和同修们交流一下。

    我孙女是二零零五年十二月底出生的。小孙女刚满一周,儿媳就上班了,家里就剩我一个人,既要照顾孩子,又要买菜、忙三顿饭。那时我只有一念:不看孙女不符合常人这层理,助师正法三件事不做不行,不符合大法弟子的身份。我就决定带着孙女一起证实法、救度众生。

    我给孩子包上小被子抱着去市场,找有缘人讲真相、劝“三退”,回来的时候顺便买菜,怀里抱着孙女、肩上背着菜。冬天还好些,夏天汗水湿透了全身,回到家顾不上换衣服,这边哄着孙女,那边做着饭。有时孩子哭闹,就要一手抱着她做,为的是能赶在中午十二点发正念前做好饭,等回家吃饭的家人带孩子吃饭时,自己可以安静的发正念。下午的时间,我就用来学法或带着孩子看师父的讲法录像,很少和孙女闲散的玩。

    这中间也有很多提高心性的时候。那年夏天的一天,天气特别热,我抱着孙女感觉她身上有些烫,我没特别在意,照常做着讲真相、救众生的事,中午她妈妈回家,发现孩子发烧也没太在意,可等下午家里人上班都走之后,孙女发烧升到近40度。我把她抱在怀里看师父讲法录像,她难受的在我腿上翻滚,后来睡着了,等师父讲法录像结束了,她也睡醒了,烧也退了,精神状态还特别好。她妈妈下班回来时,她就象没发烧这回事一样。第二天我们照常出去讲真相。

    象这种超常的事情常人是无法理解的。冬天出去,有时小嘴被冻得说不出话来,有一次回到家洗手的时候,手指被冻得伸不开了,可是她却从来没感冒过。小孙女跟着奶奶做证实法的事情,是在大法中直接受益,是师父在给她净化身体;从法理上讲,小孙女跟着奶奶救众生,承受着严寒酷暑,也会消去很多的业力。

    通过这些年的学法我知道,孩子来到我身边也不是偶然的,这其中也有去我的各种心,考验我帮我提高心性的时候。比如,开始到市场时间不长她就想回家,有时哭闹,甚至用两只小手抱住我的头用她的头使劲撞,我就发正念清除她背后干扰我救度众生的一切邪恶生命与因素。不一会,她就露出笑脸,不闹了。后来她还主动要护身符送出去。有的老人见这么小的孩子给他护身符都很高兴的接着,还直夸她好孩子。有时她拿真相资料去送,遇到不接资料的或扔掉资料的,她嘟囔着说:“那人是坏人!”我就告诉她那人不是坏人,他不想看资料那是傻人。也遇过不但不要资料还说三道四的:“这么大的孩子你就叫她干这事……”遇到这些我不会在意的,我们祖孙俩都在接受着考验。比如发资料时,被人夺走我装资料的包,孙女哭着喊:“我要包,我要包!”我说:“不要哭,奶奶家里还有包呢!”有时候,会遇到不听真相还要诬告的人,我就冷静的发正念,解体他背后的邪恶因素。我知道有师父保护邪恶是不敢动的。

    还有一次在家里,小孙女自己在南屋玩,我在另一个屋子看书学法,突然听见那屋轰隆、哗啦的声音,跑过去一看,小孙女仰面朝天的躺在地上,大电视机整个压在她身上,当我用力搬开电视机抱起孙女时,她吓得大哭起来。我拍着她说:“不用哭,有师父保护没事,快谢谢师父。”小孙女就说:“谢谢师父!”我又把《转法轮》书打开,让孙女面对师父的法像双手合十说:谢谢师父的保护。师父保护小孙女人身安全的事还很多。现在,她已经是二年级的小学生了,善良、聪明可爱,学习成绩优秀。

    回想起我带着孙女讲真相、做三件事那段经历,觉的是因为有了师父的保护和加持,才走的这么稳、这么实,写到此我已泪流满面,对师父的感恩无法用语言表述,只有精進走好正法最后的路,来回报师恩。

    以上是我个人的一些经历和感悟,有不符合法之处,请同修慈悲指正。


    就在那一刹那间

    文/大陆大法弟子 小雨

    【明慧网二零一四年五月二十四日】去年春天,我们一家三口回东北老家前,丈夫跟我说他们家里人不信法轮功,最好不要公开讲我的信仰。也是我的心性问题,我怕影响到婆媳关系,从而影响我们的生活,执着于自我的这种心态,让我没能启齿去救他们。甚至一次午饭时,做村长的公公和人谈起法轮功,我也是怕他们接受不了我的信仰,从而只是发正念,也没说什么。

    我知道我怕,这个怕来源于我的私。我可以在外面贴真相粘贴,可以和陌生人讲真相,可是一回到家,就怕失去了生活中表面的和谐,有时不愿修心还和家里人计较,怕他们欺负我,也愿讲这个不对,那个不对,都是围绕着自己。由于修的不够,所以讲真相更是无法开口。

    今年公公说他要来我家看孩子,我心里一阵心酸,公公在去年入秋以后,因为脑梗相继住院三次,他的身体好点了,就惦记来看一看小孙子。其实我知道,这是师父安排有缘人来到我身边,让我去救他啊!

    我提前给公公准备好干净的被褥,把冰箱里好吃的拿出来,还提前买回来各种水果,并告诉孩子跟爷爷问好。公公在和我聊天的时候,我关心的问了他身体情况,当他问我父母怎样时,我开始以此为契机,讲起母亲由于修炼法轮功,身体越来越好,还讲到周永康、王立军遭报的事,又讲大法在国外洪传的盛况。公公由开始听信邪党的造谣,变为认可法轮功,丈夫在一旁也没说什么。我们一直聊到吃饭了,才停止这个话题。

    有了这些话的铺垫,我想我应该突破自己执着自我的私心,应该向公公办理三退声明了。可是一晚上都没有这个机会,不是孩子要出去玩,就是公公和我丈夫去看二人转,等他们回来,都准备入睡了。明天,公公就回丈夫做生意的地方,我们见一次多不容易啊!晚上,我躺在床上,想着怎样找机会跟公公说,我真的不想错过这个机会,我求师父加持我!

    早上我起来,等公公洗漱完毕后,给他递过一碗白开水,公公说喝过了,然后,穿上鞋就和我丈夫出门了。在门口,公公和我道别,在他转身走向楼梯台阶的一刹那,我的心涌出一股热流,我说:“爸,您过来一下,我和你说几句话。”并招手示意他走回门口。我说:“爸,我给你办个三退声明,保个平安吧!就是退党、退团、退队。”我把给公公起好的“多福”的名字告诉他,公公说:“中。”并一再的重复着这个名字,下楼了。

    就在那一刹那间,如果公公走了也就走了,却会给我的心里留下非常沉重的遗憾!就在那一刹那间,我的心在法中升华,那是慈悲的力量使我突破了私心!其实不必用常人心保护自己,只要我们站在法上助师正法,师父时时刻刻都在我们身边保护着我们!


    帮助老年同修闯病业关

    文/大陆大法弟子

    【明慧网二零一四年五月二十四日】二零一三年年底的一天,我家附近一位老年同修出现了严重的病业假相。早上几位同修象往常一样到她家学法,看到她晕的坐不起来,下不了床,一睁眼就吐,也吃不了饭。她的老伴(同修)这时候也没有了正念,似乎当天的小组学法要被干扰了,几位同修商量了一下,决定让老年同修躺着听法。

    晚上我下班回来听家人提到此事,我想老年同修三件事一直做得很好,很精進,目前出现的状态全是假相,是干扰,再难受也要坚持正常学法,不能在床上躺着,否则就是在走旧势力安排的路。我嘱咐家人去她家学法时一定要与老年同修从法理上交流此事,否定旧势力的干扰迫害,坚持坐起来学法,正常吃饭。

    第二天我下班回来,听家人讲,老年同修的状态还是那样,不能起床,不能吃饭,不能睁眼,睁眼就吐,当然也没有起来正常学法。我听了很着急,决定明天抽时间亲自去看看她。可是到了第三天,我的工作很忙,抽不出时间去看望老年同修,我悟到这是干扰,旧势力在阻扰我帮助同修。

    第四天晚上我下班回家,家人对我说老年同修的状态仍然很严重,不见好转,已经连续四天没吃饭。我想不能再拖延下去了,我必须马上去看望老年同修。我对家人同修说:师父教导我们,要把同修的事当成是自己的事,我们与老年同修是个整体,我们一起配合解体邪恶干扰,一定要帮助老年同修闯过这一关。

    到了那,看到老年同修人瘦得面色苍白,蜷缩在床上,我对她老伴说:姨夫,我带来了饺子给大姨热热吃吧。她的老伴接过饺子,带着疑惑的口吻说:她能吃吗?我用非常坚定的口气说:能吃。热好了饺子,端上来,但老年同修闭着眼躺在床上,晕的天旋地转,动不了,吃不下。我说:大姨,您要认识到不让您吃饭的是邪恶,您必须吃饭,吐也得吃。

    老年同修听我这样说,就强撑着坐起来吃饭。我与家人同修赶紧坐在她身边开始发正念,当时我脑子里有一念,如果今天大姨不吃饭,我发正念就不停。可是我还冒出一个念头,要不多找几位同修来发正念,此念一出我马上认识到这是依赖心,我的一念力可劈山。悟到这一点,我立刻感到能量场特别强,我完全被能量笼罩着。

    我们发着正念,老年同修勉强吃了两个饺子,就不吃了,但是说了一句:咱们学法。我说:对,哪怕您学一个字,您也要睁着眼自己读。这样我们开始学习师父的近期讲法,两个小时我们学了七页,这期间老年同修打了几次嗝,没有吐。看到她打嗝,我就发正念求师父加持,不允许邪恶干扰。

    学法期间,同修的女儿、女婿不放心母亲的状态,赶来看望。我想这也是干扰,不要动心。但是看到姨夫起身招呼女儿,并对女儿介绍说:同修是来帮助你妈的。我悟到应该圆容好常人这层理,就对他们笑笑,说对不起,我们要占用一点时间。他们很友好的点头,回去了,说明天再来。

    学了两个小时,我们停下来交流,我对老年同修说,大法弟子要有大法弟子的风范,再难受也要打起精神,同时还要敬师敬法、信师信法,大法经书每个字的背后,都是佛道神,我们学法时端端正正的姿势,就是敬师敬法的体现,书中的佛道神就会帮我们闯过这一关,也就是否定旧势力的安排。快到晚上十点了,我提出来,再一起给大姨发一次正念,我们就回家。老年同修态度很坚决的说:不用了,你们快回家吧,我自己发,我能行。

    转天我下班回来,听家人说老年同修一切正常了。她的老伴还特意给女儿打电话,告诉女儿:不用来了,你妈全好了。

    通过这一次帮助同修闯病业关的经历,使我对敬师敬法、信师信法有了更深的体悟,同时也让我再一次亲眼见证大法的神奇。

    <英文版: http://en.minghui.org/html/articles/2014/6/3/1491.html>


    记一次过关

    文/长春大法弟子

    【明慧网二零一四年五月二十四日】我今年七十六岁,一九九六年开始修炼大法。当时的我疾病缠身,如:肝病、风湿病、胃病、头疼病等,每天药不离口,苦不堪言。修炼后,各种疾病都逐渐消失了,变的身轻体壮,精力充沛。真正体验到大法祛病健身的奇效。谢谢师尊和大法给了我第二次生命。

    回眸十八年所走过的修炼路,虽然走的磕磕绊绊,但在师尊的慈悲呵护下,我不断的闯难关,不断在法理上成熟。在二零一四年世界法轮大法日到来之际,把最近发生在我身上的一件事写出来,以证实大法的神奇。

    今年一月的一天早晨,我起来晚了一会儿,七十八岁的丈夫推开我的屋门气汹汹的说:我以为你死了呢!我一听火一下就上来了,没有守住修炼人的心性,气恨心、委屈心、争斗心全出来了,也没做到忍,几天下来心里还是放不下,学法炼功都静不下来。

    由于这一关没过去,又引来更大的一关。

    几天后的一个下午,我出去发大法真相资料,由于天冷路滑,下楼没走多远,就跌了个大跟头。当时就不会动了,整个左小腿不能动,一点知觉都没有。费了好大劲才靠右腿支撑站起来。我心想:这是哪没做好?被旧势力钻了空子,邪恶来干扰、迫害我。我绝不承认它,一定要把救人的资料发出去。凭着这一念,我走了三栋楼,终于把资料全发了出去。

    虽然腿疼的我浑身冒汗,但我心里在想,今天的事绝非偶然,是哪颗心导致的呢?一下子想起来了。老伴说我个死字,心里就不平衡了。气恨、急躁、争斗、委屈、情等这些人心搅在一起,不但和老伴吵了几句,而且见人就说老伴的不是,没有用“真、善、忍”大法标准要求自己,把自己混同于常人。师尊在《转法轮》中告诫弟子:“作为一个炼功人,就得做到打不还手,骂不还口,用高标准要求自己。”[1]而我就为一个“死”字气的那样,算什么炼功人呢?想到这心中一热,痛悔的眼泪流了下来:师父!弟子知错了,今后一定把这些人心修去,在法中归正自己。

    第二天,老伴见我的脚和腿肿成黑紫色,吓得叫我立即去医院,我说不去医院,他就给儿子打电话,我立即在心里发正念,让他打不通,结果两部手机都没打通。老伴生气的说:你不去医院,将来截肢不能动怎么办?我说:没事,我有师父在管,不会出问题的,你放心吧。

    我坚持每天三顿饭照做,家务活样样不落,天天如此,孩子们都不知道发生了什么。老伴见说不动我,又不愿看我这样,一生气,扔下我一人,回外地老家串门去了,一去就是半个月才回来。我自己在家,心里没说老伴一个不字,心里很平静。我知道这就是修自己,修去私心,修成真我。同修们还天天来我家学法,帮助我发正念,与我切磋,并鼓励我坚持炼功。

    在炼功时,左腿疼的一蹦一蹦的,疼的我钻心、疼的我闹心、疼的我恶心。我默念着“难忍能忍,难行能行”[1],再疼我也要坚持炼完功。

    半个月后,我左小腿及脚踝处原来都能摸到的错位和劈裂的骨头逐步归位,疼痛感也逐步减轻,并且消肿。这时离家半个月的老伴也回来了,他看到我这神奇的变化,很惊讶,从此再也不说三七疙瘩话了。在不到一个月的时间里,我的腿好的利利索索。我又可以健步行走,洒洒脱脱做弟子该做的事了。

    这就是大法的神奇;这就是“心性多高,功多高”[1]法理的真实体现;我又一次领悟了“修在自己,功在师父”[1]这一法理的深一层内涵。

    所以,我们只有多学法,静心学法,同化法,多发正念,清理内外的邪恶因素,在救度众生中实修自己,真正提高自己的心性与境界,做好大法弟子该做的三件事,救度众生,做个真修、实修的大法弟子,跟师父回家。

    如有不当之处,诚请同修给予纠正。

    注:
    [1] 李洪志师父著作:《转法轮》


    象棋高手退党记

    文/湖北大法弟子

    【明慧网二零一四年五月二十四日】和往年一样,镇上的人清明节后大都外出打工,我店里的生意逐渐淡了。一连几日,总有“闲者”上门找我下象棋。生意人嘛,盛情难却,于是欣然应战。我的棋技一般,但这些年“醉翁之意不在酒”,无论胜败,三盘下来,基本能让来者明白真相,同意“三退”。

    五月初的一天,有一位六十多岁的老者,推着自行车缓缓从我店前经过,我似有印象,便主动上前搭腔:“您是不是会下象棋呀?”老者感到惊讶:“你怎么知道的?”我说:“我仰慕您很久了,小时候就见您在街上摆棋摊下注挑战,必定是高手!”话匣一开,老者双手扶车滔滔言起当年之勇,竟半个小时不立车架。我和我老婆就像听传奇故事,得知老者原籍外地,曾和一知名特级中国象棋大师、国家级比赛的冠军是同村,说凡该村下棋之人,大都是高手。老者早年曾代表本镇到市里比赛,多次得奖,多年来未逢对手。临走时,我提出有机会跟老者切磋,他说:“一般不下药不出手。”(药指的是钱)

    又过了几天,五月六日,老者又从店前经过,我主动向他请战,他竟破戒不“下药”跟我切磋,说道:“好,前两天我见过你下棋,今天我的心愿是让你提高提高!”高手就是高手,居高临下,傲气凌人。我非常热情、利索的在店内摆好了场子。

    第一盘,老者坚持让我先行,我想反正我的棋技在别人巴掌心里,不客气—当头炮一开,我便问:“你是党员吧?”老者答:“是,党费在退休金里扣。”于是我滔滔讲真相不停,高手边听边下,一概摇头否定,只回答两个字:“鬼话。”这一盘我输的又快又惨!由于开局失利,被轻松拿下,老者兴致甚高,复言旧勇,不时对我指步行教,视我犹如初级学徒。是呀,败军之将,何以反驳?这么多年,心不在棋,人家可是名副其实的“万人敌”呀!

    第二盘已近中局,我难插一句正题,偶尔插上一句,也被不屑一顾顶回来,还是两个字:“鬼话!”此时此刻,我感受到对方之意:棋这么臭,见解高不到哪去,像我“绝世高手”,要是被你“忽悠”,岂不成了笑谈?除非能胜过我一招半式,否则说什么皆是“鬼话”。我忽然心生一念:为了救你,背水一战!请师父加持!顿时感觉自己的大脑象被凉水浸了一下,冷静下来,行棋时该吃就吃,能兑就兑,“心狠手辣”,这一盘竟然和棋了。

    老者发话了:“像你这么走,下棋就没什么意思了。”我故意激道:“我这不是没输嘛。”

    老者闻言受到刺激,迫不及待摆子开战第三盘,也不礼让先后了——当头炮!见状,我意识到,这一盘对方志在必得,让我和棋的机会都没有,但我要摆正心态,你急我不急。我稳扎稳打,蓄势待发,积小胜为大胜,以略微的优势進入了残局,最后破天荒赢了这一盘!

    老者输了一盘,心里更加着急,迅速摆子進入第四局。他用左手支撑着头,右手不时的摸摸胸部,说:“唉,六十多了,心脏病也有了。”终于见他开口说话了,发现他的状态与刚来时判若两人,我顺势给他台阶下,接言:“是呀,老了有个好身体比啥都重要。我修炼法轮大法十多年来,从未打针吃药,身强体壮,年纪又轻,在体力上我有优势呀。你退了党、团、队,一切都会好的。”老者还回来还是那两个字:“鬼话。”

    好难啃的硬骨头,刀枪不入!

    接下来第四盘、第五盘,我便不再开腔,一心下棋,结果“超常”发挥,感觉顺风顺水,有勇有谋,直落两盘,以五战三胜一平一负的成绩战胜了这位象棋高手!

    时近中午,我们和平散场,老者推车准备离开,我出门相送,又劝道:“退了吧?”他面带无可奈何的微笑,连连点头,答道:“退了吧,全退了!”我长嘘一口气,真是“弟子正念足 师有回天力”[1]!师尊才是真正的高手啊!

    注:
    [1] 李洪志师父诗词:《洪吟二》〈师徒恩〉

    <英文版: http://en.minghui.org/html/articles/2014/5/28/1388.html>


    正念闯出派出所

    文/大陆大法弟子

    【明慧网二零一四年五月二十四日】我是一名农村女大法弟子,二零一四年四月八日,我在本乡镇集市上讲真相。碰到两个小伙子,我就送给他们每人一份神韵晚会光盘和破网软件,并对他们说:“看看全球华人新年晚会吧,对我们每个人都有好处。”

    这时一人突然说:“我们是派出所的。”我当时一惊,但很快平静下来,心想:我是大法弟子,是来助师正法、救度众生的。随即善意的说:“不管你们是干什么的,我都希望你们明白真相,得救,并有一个好的未来呀。”

    因为他们受邪党“天安门自焚”伪案毒害很深,一时难以接受,说:“跟我们走吧。”我说:“我不配合你们,我若配合就害了你们”。一个小伙子就开始打手机。我心不动,很坦然,心想既然碰上你们,就是有缘得救的生命,我就坚定了要救他们这一念,并请师父加持。

    派出所距集市不远,路上我就跟他们讲我通过修炼大法有了一个健康的身体,慈悲众生的心态,一切为着众生平安得救。还讲了其他一些真相。

    到了派出所,一个警察说让我配合他们,不然就治治我。我以修炼人的心态平和地说:“我不希望你那样做,我修大法后全身的病都好了,家庭和睦了,邻里关也系改善了。”我这样一讲,这个警察态度改变很大,静静的听着还频频点头。我用慈悲和善念解体了他背后的邪恶因素。在这过程中又来一个女的,说是他们的头,她挺面善地说:“来跟我们讲讲吧,说不定哪天我们也学这功呢。”

    她又带我去了另一房间,说坐下吧。我刚一坐,马上被弹了起来,我立刻悟道是师父点化,不能配合邪恶。这时另一警察拿起相机冲我拍照,我边用手挡边说:“你不要照,我不配合。”警察说:“照不上,是不是?”我说:“是”。他笑了说到:“我们头说了,不为难你。再给我们留些光盘和传单吧。”我一一递给他们后离开派出所。

    这个过程大约二十分钟,我从内心谢谢师父的巧妙安排和对弟子的处处呵护。同时告诉同修们:邪恶真的不多了,只要我们信师信法,正念正行,去掉怕心,邪恶自灭。让我们紧跟师父正法進程,找出不足,共同精進。

    有不足之处,请同修慈悲指正。

    拜谢师父
    合十


    文史漫谈:何处不可行教化

    文/静远

    【明慧网二零一四年五月二十四日】(接上文》)

    四、何处不可行教化

    虞舜时,历山的农夫侵占别人田地的边界,舜到历山脚下去耕种,过了一年,此类事情就再也没有发生。黄河边上的渔夫互相争夺水中的高地,舜到那里去打渔,过了一年,那里的渔夫都知道了尊让年长的人。东夷一带制陶器的人往往制造出一些粗劣的制品,舜到那里去制陶,过了一年,那里所制作的陶器都很坚实、讲求质量了。

    孔子赞叹道:“耕田、打渔、制陶,都是舜所管的事,但是,舜到那里去做同样的事,是用来救助这些事情的。舜是诚信仁德之人,于是亲自前往耕种而自愿生活在艰苦的地方,因而百姓都愿意跟从。所以说,这就是圣人道德的教化呀!”

    西周时,虞、芮两国国君为了田野的界限发生了争执,他们一起到周文王那里去评理。两国君来到周国,看到的是“入其境,则耕者让畔,行者让路”;“入其邑,男女异路,斑白不提挈”;“入其朝,士让为大夫,大夫让为卿”,一派君子之风。两相对比,内心羞愧,两国君互相说道:“像我等小人,有何面目上君子之堂,让人家给评理呢?”还没有见到文王本人,他们就都主动把所争之地让给对方,结果双方都推让不受,这块土地便被闲置起来,后人称之为“闲田”或“闲原”。邻近的诸侯闻知此事,都以文王为典范,并纷纷前来归附。

    孔子赞叹道:“文王之道非常伟大,没有任何有意的举动而使人发生了变化,没有有意做任何事情就接近了成功,这是因为文王能够一丝不苟、严于律己、恭敬待人,然而,虞国和芮国便因此而得到了平定。所以《书》曰‘惟文王之敬忌’,是说惟有文王能够谨慎真诚地修养节制自己,这就是圣人德行的感化呀!”

    (待续)

    <英文版: http://en.minghui.org/html/articles/2014/6/6/1533.html>


    二零一四年五月二十四日大陆综合消息

    【明慧网二零一四年五月二十四日】

  • 大连金州区法院偷偷开庭 夏元新被非法判刑7年

  • 惧律师辩护 遵义市法院突然取消对赵春霞、余燕等开庭

  • 上海杨浦区六旬老人周贤文五月二十二日上午被绑架

  • 武汉市法轮功学员喻小霞被绑架

  • 山东文登市法轮功学员周凤兰被绑架情况补充

  • 家人探视河北省法轮功学员李秀林、周凤莲遭刁难

  • 内蒙古赤峰阿鲁科尔沁旗法轮功学员白玉兰被绑架

  • 河北任丘市法轮功女学员赵玉萍被劫持到看守所

  • 山东德州市公安局警察企图绑架法轮功学员小刘

  • 辽宁锦州法轮功学员薛立华被绑架

  • 山东寿光市法轮功学员许冠通被绑架情况补充

  • 重庆璧山县法轮功学员万传玲绑架情况补充与更正

  • 四川广元市法轮功学员刘凤兰被绑架

  • 四川广安市白瑞英老人被非法庭审

  • 沈阳法轮功学员牛桂芳遭迫害近况

  • 广东省女子监狱对法轮功学员进行逼吃药、灌药

  • 曝光太原市女子看守所的罪恶,追查凶手严惩邪恶,全面控诉检举恶人

  • 河北巨鹿县国保队长卢东利恶行

  • 辽宁盘锦市多名法轮功学员被警察骚扰

  • 广东深圳法轮功学员赵秀荣被非法判刑

  • 大庆市油田总医院法轮功学员王艳芹遭迫害

  • 山东能源良庄矿业职工胡来秀仍被非法关押在新泰看守所

  • 请曝光绑架山东潍坊法轮功学员秦永杰的责任人信息

  • 安徽合肥法轮功学员刘希兰、黄宇平遭迫害情况

  • 湖北武汉法轮功学员祝春梅面临非法庭审

  • 参与迫害责任单位及人员信息

  • 大连金州区法院偷偷开庭 夏元新被非法判刑7年

    辽宁省大连市金州区法院没有公开开庭,就对法轮功学员夏元新非法判刑7年。家属于2014年5月23日接到看守所的电话,才得知夏元新已经被诬判。律师表示这是报复性的行为。夏元新本人和家属要求上诉。


    惧律师辩护 遵义市法院突然取消对赵春霞、余燕等开庭

    法轮功学员赵春霞、余燕等多名学员仍被非法关押在遵义市第二看守所。日前遵义市汇川区法院通知她们的代理律师将于5月22日上午十点对赵春霞、余燕等开庭,律师得到通知后到贵阳市,下飞机时就发现有人对他们进行跟踪、拍照。

    5月22日早上,遵义市警察到律师的下榻处进行恐吓:你是不是带着你原来的观点来的?律师回答说:“我是按法律接案。”后遵义市汇川区法院突然取消了当天的开庭。去旁听的亲属知道取消了当天的开庭后非常气愤,亲属和律师走出法庭时,又发现有人对他们进行跟踪、拍照。


    上海杨浦区六旬老人周贤文五月二十二日上午被绑架


    武汉市法轮功学员喻小霞被绑架

    家住湖北省武汉市新洲区阳逻街的六旬法轮功学员喻小霞5月21日被新洲区阳逻街派出所警察绑架

    阳逻街派出所电话:027-86961771、027-86967901


    山东文登市法轮功学员周凤兰被绑架情况补充

    山东省威海文登市法轮功学员周凤兰2014年5月22日晚发放真相资料时,被绑架至文登市公安局,当晚被抄家。现被关押至文登市张家产拘留所,说要非法拘留15天。

    文登市公安局地址:文登市米山路甲59号;电话0631-8452538
    张家产派出所地址:文登市张家产镇永安路3号;电话0631-8731014


    家人探视河北省法轮功学员李秀林、周凤莲遭刁难

    河北省张家口市怀安县柴沟堡镇两名老年女法轮功学员李秀林、周凤莲于二零一四年五月五日,被太原铁路公安局大同铁路公安处柴沟堡站派出所伙同当地派出所和大同铁路公安处的警察绑架,后被劫持到大同市陈庄第一看守所非法关押,由大同铁路公安处的国安办直接负责。

    李秀林的家属和周凤莲的家属分别几次,从两百多公里以外的老家赶去想见家人,国安办的人都无理拒绝,并且还恐吓、威胁家属。李秀林的儿子在百般争取下,才和母亲通了电话,李秀林只说了需要些衣服,就又被切断电话。

    山西太原铁路公安局大同公安处:
    邮编037005  区号0352
    处长贾占奎15303521001
    处长兼书记张玉林 办0352-7122918宅0352-7122908住址:山西省大同市益民园16-1-3
    刑侦副处长 办7122928宅7123928
    治安副处长 办7122938宅7123938
    法制副处长 办7122948宅7123948
    副书记   办7122998宅7123988
    纪检组长  办7122958宅7123958
    政治处主任侯宗珍18703529977
    政委李勇13513523674 杨如春13935221870张顺平13935221863 田红卫13513673206王长义13934759185
    国保大队 办0352-7124408、18734226769


    内蒙古赤峰阿鲁科尔沁旗法轮功学员白玉兰被绑架

    2014年5月22日晚,内蒙古赤峰阿鲁科尔沁旗法轮功学员白玉兰出外发真相资料,白玉兰被警察绑架,另两名学员下落不明。

    阿鲁科尔沁旗公安局相关人员电话:
    局长哈斯陶格陶15804768966办0476-7230501
    副局长国东兴13904765996、0476-7230511
    吉林白音13804761891、7230509
    郭凤民13804761175、7230507
    于子臣13804761469、7230506
    朱志军13500662058、7230510
    任树文13804761956、7230503
    李志权13804761509、7213780
    胡长海13804761246、7222110
    付育华13804764236、7230524
    宋良然13614767555、7230516
    雷 红13848893578、7235850
    国保大队:
    队长布仁白音13804761788、7230529(直接参与绑架)
    看守所:所长冯炜13947601970、7205136
    网安大队:队长杨志红15849656595、7220809


    河北任丘市法轮功女学员赵玉萍被劫持到看守所

    河北省任丘市华北石油总医院职工、法轮功女学员赵玉萍5月21日上午十点半左右被绑架,22日下午三时被拉到任丘市医院体检,下午六时被劫持进任丘看守所非法关押。期间一个任丘国保大队女队长曾动手打赵玉萍。


    山东德州市公安局警察企图绑架法轮功学员小刘

    2014年5月22日晚,山东德州市经济技术开发区公安分局国保警察开车,突然闯到德城区黄河涯法轮功女学员小刘的家,因小刘不在家,绑架未遂,警察非法抄家,抢走真相币500元和小刘用的手机。

    希望和小刘有手机联系的同修停止联系,正念正行,请互相转告重视发正念。

    山东德州市经济技术开发区公安分局:
    局长张宝镇13705342656副局长李保国13953421808副局长许尚伟13793498668副局长李清岭15963388667纪委书记李代华13505340118主任周方军13905348587主任冯寿春15105341687
    国保大队:
    李红卫13805343936张丽丽13853418937张旭15863897808张士军18266116831郑广远13356267966
    开发区公安分局拘留所:
    所长丁海新13792225008
    警察:卢殿国13505346539刘荣军13153451900李晓丽13791364035洪振国13905342409高玉宝13792225036叶海军15806812697王建平13355441166魏德军15605344556。
    德州市黄河涯派出所:所长陈新安13805341988
    晶华北路派出所:
    地址:德州市经济开发区晶华大道1762号 邮编:253000
    所长王智强13605347618
    警察:李俊国15965212567张静13869292686郭晓健15206946567满延卿13205343963王光鑫13153487087杨文飞15965992936张仁鹏15053408664王吉军15806813021


    辽宁锦州法轮功学员薛立华被绑架

    2014年5月23日,原辽宁锦州女儿河纺织厂职工薛立华在锦州市内讲真相时被锦州市“610”支队的警察绑架。中午,这些警察协同女儿河派出所、女纺社区人员闯到薛立华家非法抄家。

    锦州市公安局“610”支队:
    支队长白宁13700068341、15698703071、0416-2135511
    副支队长牛伟功
    李瑂珊15698704590单学志15698705200、13604969630肖江15698705661秦首智15698703386孙治安15698705027张海泉15698704582、13941674587刘永平15698704585张运昌15698704586张俊杰15698704587刘守成15698704588关敏15698704589刘显阳15698704592王海涛、黄健
    女儿河派出所:
    办公室0416-5139243值班室5139243
    所长5136158许全海 5139243王永强13904965251葛跃武13941604837张文新13941670030赵景新13840686303孙会军13020363302杜子全13841689558肖国强13840637222张中信13704160089王定科13304066120黄波13700065887谭国仁13604965271高峰13840634987杨云刚13941646213卜昭余13840639222张铁刚、裴伟兴、张铁刚、杨志刚、张德云、吴立光、罗宇、黄静


    山东寿光市法轮功学员许冠通被绑架情况补充

    5月22日,山东寿光市七十多岁的退休法轮功学员许冠通,在寿光市南关材料市场讲真相救人时,恶人构陷,被寿光市圣城派出所警察绑架。上次寿光法轮功学员李玉平也是被圣城派出所警察绑架的,现还被关押在寿光市看守所内遭受迫害。

    寿光市圣城派出所所长 郭永智 手机 15965785345


    重庆璧山县法轮功学员万传玲绑架情况补充与更正

    重庆璧山县法轮功学员万传玲5月12日被绑架,后被劫持到千竹沟洗脑班。5月13日,来凤派出所指导员范臻等人(张杰没去)闯到万传玲家抢走电脑后,把电脑交到璧山县公安局。

    补充:参与迫害的单位
    璧山县公安局国保大队、执法大队
    璧山县青杠街道:
    青山社区谭荣 13018307998
    大字社区:书记孙泽福 13637755457廖健 15826192675综治办黄宗平 15923589780王纯瑜13399859766王小华13594689718李家芳15808068838赵明15998912909


    四川广元市法轮功学员刘凤兰被绑架

    四川省广元市法轮功学员刘凤兰,利州区国土局退休职工,档案年龄52岁,实际年龄58岁。4月23日晚,刘凤兰在成都火车站过检时,被查出携带部份光盘,被成都铁路派出所和国保当晚送到广元铁路派出所。4月24日上午10点,成都铁路派出所、广元铁路派出所、利州区公安局国保大队警察闯到利州区政府二宿舍安居楼5单元2楼2号刘凤兰的家非法抄家,抢走所有大法书籍、照片、打印机、电脑、优盘、点播器、MP3等,经济损失近2万元。4月24日下午6点,刘凤兰被非法关进广元市看守所1号严管监室。


    四川广安市白瑞英老人被非法庭审

    2014年3月23日,四川广安市70多岁的老年女法轮功学员白瑞英因为发放神韵光盘,被邻居跟踪、恶告而遭到绑架,被关押15天后收到逮捕通知书。邪党相关部门于5月12日对白瑞英老人进行了非法开庭审判。目前白瑞英仍被关押在看守所。


    沈阳法轮功学员牛桂芳遭迫害近况

    2014年5月20日,沈阳法轮功学员牛桂芳的家属一大早到辽宁省女子监狱马三家子监区探视牛桂芳,狱警以牛桂芳不写“思想汇报”为由不让家属接见。家属好说歹说都不行,家属惦记牛桂芳的安危,无奈跟狱警说“可以劝劝她”,狱警才同意让见一面。

    家属见到牛桂芳表情非常凝重,猜测她被狱警刁难,牛桂芳态度非常坚定,当家属告诉她不配合就不让见时,牛桂芳告诉家属:“你不要管了。”家属又说一次,牛桂芳训斥了家属一句,放下电话扭头就走了(回监室)。家属说虽然很担心她,但理解她的处境。

    请同修多为被非法关押的法轮功学员发正念。以下是 “辽宁省女子监狱马三家子监区”二监区每月的接见时间:6月16日、17日;7月21日、22日;8月18日、19日;9月22日、23日;10月20日21日;11月17日、18日;12月22日、23日。


    广东省女子监狱对法轮功学员进行逼吃药、灌药

    很多被劫持到广东省女子监狱的法轮功学员,入所被体检后,明明没有高血压,狱警硬说是高血压,威逼吃药,不吃就灌,一天三次,一次两粒,吃到出所那天还要吃,平时大家同吃一瓶。2013年年底分开吃,每人每次一瓶,每瓶分别写上各人的名字,按名字派药,到底是降血压的药还是慢性毒药有待确认。


    曝光太原市女子看守所的罪恶,追查凶手严惩邪恶,全面控诉检举恶人

    据最新消息,被非法关押在山西省太原市女子看守所的法轮功学员赵云霞遭暴力迫害的情况严重,狱警杨雪指使号头脱光赵云霞的衣服后,进行毒打、用脚踹、揪头发,还给赵云霞戴上沉重的手铐脚镣罚站,不让睡觉。

    另据消息,被非法关押于太原市女子看守所的古交法轮功学员李爱莲发出紧急求助,可能牙齿被打掉,她要求见律师。

    目前太原市女子看守所非法关押的法轮功学员还有季国珍、葛春玲、刘凤玲。


    河北巨鹿县国保队长卢东利恶行

    5月12日,河北省巨鹿县法轮功学员租了常人的私家车去发资料、挂条幅。由于恶人构陷,其中有一名70多的老太太被巨鹿县国保大队长卢东利绑架到县公安局,第二天回家。巨鹿县国保队长卢东利扣押了常人的私车,到现在也不归还。

    卢东利近两年来卖力迫害法轮功学员,绑架、勒索、关看守所、送洗脑班。特别是近两个月,有三起绑架、迫害法轮功学员的坏事都是卢东利干的。他把法轮功学员送往看守所,看守所不要,他就用送给人家钱,强行把人放下,赶紧开车逃了。有被迫害的法轮功学员给他讲真相时,他说:哪天法轮功平反了,我再说法轮大法好。


    辽宁盘锦市多名法轮功学员被警察骚扰

    五月初,辽宁盘锦市吴家乡吴家村、孙家村多名法轮功学员被警察骚扰。吴家乡派出所警察闯到法轮功学员家,逼学员签字保证不炼法轮功。


    广东深圳法轮功学员赵秀荣被非法判刑

    广东深圳市福田区法轮功学员赵秀荣在2013年9月被绑架,2014年5月15号收到判决书,被非法判刑三年。赵秀荣坚持认为自己无罪,律师也做无罪辩护,目前已上诉。


    大庆市油田总医院法轮功学员王艳芹遭迫害

    黑龙江省大庆市油田总医院有关人员骚扰法轮功学员王艳芹,强迫她写保证,并降职。

    同时参与迫害的还有大庆市油田公司的王昆好象是纪检监察处的。

    相关责任人(区号:0459):
    孙启玉  电话 18945961333 5881738 5805433
    潘建清  电话 13304695280 58268285805006
    沈永江  电话 15045873677 5826015 5805659
    张晓辉  电话 13069679068 6155169
    肖 岷  电话 18246939777 13059067188 5961877
    刘平兰  电话 13159815077
    刘淑贤  电话 13039804980 5986733
    王晓红  电话 13329596366 5982781


    山东能源良庄矿业职工胡来秀仍被非法关押在新泰看守所

    山东能源良庄矿业:
    保卫科科长陈征18753867666办0538-7835224宅0538-7835980


    请曝光绑架山东潍坊法轮功学员秦永杰的责任人信息


    安徽合肥法轮功学员刘希兰、黄宇平遭迫害情况

    安徽合肥法轮功学员刘希兰、黄宇平约于5月18日下午到晚上遭非法抄家,刘希兰的情况不清楚,黄宇平现人在家,他们的电脑、手机等可能都被警察拿走。请所有和他们有联系的同修将手机和卡全换掉,注意安全。


    湖北武汉法轮功学员祝春梅面临非法庭审

    武汉法轮功学员祝春梅去年八月在十堰遭绑架,现在面临非法开庭。


    参与迫害责任单位及人员信息

    ▼迫害重庆市开县法轮功学员雷必富责任人:
    重庆市开县检察院直接办案人任泽东 办52666222

    ▼绑架河北涞水县法轮功学员卢桂芬责任单位及人员信息:
    保定市看守所
    电话0312-8051060所长刘翔
    涞水县王村乡邪党书记廖科
    涞水邮编074199

    涞水县检察院:
    检察长孟国平13831250288办0312-4522166宅0312-5619558
    代文功13933226906卢春生13703323586李国权13903125964许朝阳13931350508张新宇13663390099廖志刚13933263538韩益民13903369280
    公诉科办案人员:杨俊峰15176250591崔冠秋15531227122、8218505主任刘建革13582998298、4525508
    案管办:主任张萌13933239089、0312-4525618郭芳洁15033826278、4529715

    涞水县法院:
    院长—尚文芳13803270800、0312-4522779
    副院长—宋孟山13933243818、0312-4535961、4526300
    副院长—李艳秋13603324138、0312-4535606、4523601
    主任—苏金生13703229415、0312-4532970、4524371
    办公室—石晶晶15194951957董金叶15930220606
    立案庭—郭敏洪13833213884、0312-4520132谷丽娜15232928811
    民一张建军13630869952、0312-4533625、4522559杨秋芬13831203322、4526885
    民二李志强13102907029、0312-4523861、4524375王玉敏15932129187、4525806
    刑庭—张建华13832272076、0312-4525564、4524633邵晓彦13833274992、4528000
    行政—张常谊13703289920、0312-5841819、4523959刘东升13930812871、4531008
    执行—张廷军13582201057、白术宇13833034635、15232267923、4522298
    法警队—毛建中13903369414、0312-4527222、4525778张久宏15931890564、4523231
    审监庭—张慧敏13933243566、0312-4532582
    信访办—李景祥15231271199白菊15231270818
    监察室—鲍旋15633269169马雪中13832276094、4522227

    涞水县城关镇派出所:所长曹继新13603321186副所长李双翼电话13230645666张宝强13930282298
    涞水县刑侦大队:大队长李金鹏13663390123;现居住在涞水县城;其父李克才其母李玉霞;其舅李奇、李强、李福三个舅舅都是涞水县城东关村人;李福13032025692座机0312-8574320;其姥爷李德冲;其姨妈李东辉在涞水县第一小学教学。

    涞水县公安局:
    局长刘文占13903368099办0312-4522219、0312-4526601固话0312-7072188;妻子李瑞13333127799, 工作单位满城县县医院;女儿刘静15130222333;在满城县方顺桥乡政府工作;其父刘德友原满城县公安局局长家住满城县宏昌园小区;其兄刘占军是保定市新市区工商分局副局长,其嫂贾玉兰满城县副县长。邮编072150
    副局长王宝华13930891928
    涞水县政保股:股长戴春杰13930218895;地址:涞水县温馨家园小区2号楼4单元302
    刑侦大队副队长王冬

    涞水县“610”主任李宏宇13932235872 办0312-4532190;家住涞水县富民小区8号楼3单元501室;其妻李芳 单位涞水物价局;其父李镇贵家住涞水县富民小区8号楼2单元101室;其哥李新宇家住涞水县富民小区8号楼1单元402室;单位涞水法院;其嫂刘亚丽 单位涞水县社会保险局;李宏宇与其父亲哥哥三家同用一部座机0312-4522321

    涞水县涞水镇派出所:所长曹继新13603321186
    涞水镇东大街居委会主任李志奇13603120418
    涞水镇镇邪党:
    书记胡金萍13582082098刘大刚13582386121
    人武部长宋志强13930891994、13582996696
    涞水县城关镇法庭:庭长张永
    涞水县城关镇司法所:所长杨华
    涞水镇稳定办:主任米娟

    涞水县:
    县长于舒心13703120660办0312-4538558
    邪党书记王义民15931876666办0312-4601888
    副书记陈河13903369136办0312-4539136宅4523639
    副县长穆启文13931362850办0312-4525958宅4522970
    政法委:
    书记张晓笠13932218868办0312-4520866宅5993010
    王满13703284786、0312-4533866办4527436
    万树军0312-4533866
    张贺春13582077658办0312-4535039宅3802789
    梁丽敏13315228866办0312-4528086宅3103286
    贾素明13722430606

    纪委:书记马坤英13582268166办0312-4520799宅3333527、13503369121
    宣传部:周峰18631250023办0312-4533000宅3180966
    涞水县邪党校:刘晓明13931393858、4627486王福汉13930839998王茜13785283104
    涞水县教育局:局长王金龙13703321318刘文强139312096834520155
    涞水县司法局:局长贾永宝13722283666万玉国13466612763胡志伟13932277222王淑贤13833293828翟英策13933242299
    涞水县妇联:主席万桂花13833058186曲爱军13932289428杜宋仙13373326253
    涞水县民政局:局长张成13930803688冀云平13703284264吴志勇13731479308

    <英文版: http://en.minghui.org/html/articles/2014/5/31/1445.html>


    112人声明从新开始修炼

    【明慧网2014年5月24日】编者注:“严正声明”是在压力下曾给邪恶写过“不炼功保证”的法轮功学员宣布重返修炼的声明。为保持严肃性,声明必须用真名实姓发表。如发现使用化名的“严正声明”,将予以删除。在明慧网上发表严正声明,必须写清(1)自己写给邪恶的“保证书”作废;(2)郑重宣布从新修炼、弥补损失。

    * * * * *

    声明人:陈翠华 许丽琴 张春洁 庞喜云 杨桂英 姜金华 蔡素平 田明香 韩云前 杨铁忠 王留娣 徐拥军 张云岫 唐桂荣 丁志洁 秦正秀 陈蓉 王雅新 李强 张永先 贺青 冯志 胡玉静 吴春凤 王洪庭 王世芬 金唐 周秀梅 田玉琴 彭胤碧 薛延军 于兰英 富强 李雅玉 王海霞 申俊兰 杨顺娣 许孝淮 任卫华 冯银雪 邓英 楊超 于萍 蔡艳芳 张柳柳 胡邦权 刘玉贤 刘影 方广英 陈永华 杨华涌 万晓慧 赵金兰 赵美荣 王桂美 张丙娟 蔡瑞芳 刘金荣 宋观美 庞巍 白志清 宋乐军 张淑芬 周昌杰 吴奇志 高立琼 王俊英 唐丽娟 陈思齐 王淑芬 刘维碧 李静洁 王振怀 张慧平 谢维双 李六容 梁银培 薛兰强 杨速延 张淑琴 蒋明秀 蒋姗雁 罗玲 徐丽 张海英 任华 杨玉范 刘春芬 尹玉香 王敬生 欧阳月英 王云萍 黄彬 罗胤峰 刘兰凤 郭秀芹 李怡乐 吴秀兰 张秀红 金保真 罗玲 田桂红 方学卿 李文新 龙光佑 刘素霞 葛桂芝 杨淑芳 郎智贤 何兰荣 王文苓 王凤艳 王丽琼


    文史漫谈:义以为上

    【明慧网二零一四年五月二十四日】孔子一生谈做人的道理,注重从解决现实的人生问题做起,其它的事,自然就会豁然贯通。以下为《论语》、《孔子家语》中记载的几个故事:

    三、义以为上

    孔子见到梁国国君。梁君问孔子说:“我想要永远拥有国君的地位和权力,我想要得到各个诸侯国的土地和财宝,我想要使百姓永远相信我,我想要使土地竭尽它的能力,我想要让太阳月亮根据我的意愿出入,我想让圣人自愿地前来,我想使官府能够善于治理百姓,怎么才能达到目的呢?”

    孔子回答说:“大国的国君,小国的国君,向我提出的问题已经很多了,从来没有象您这样询问治国手段的,不过,也不是没有办法做到。我听说过,如果两个国家的国君能够相互尊重和礼敬,就能永远拥有国家;国君能够以仁政惠泽百姓,官员能够以真诚而符合道义之心来为国为民做事,就能使各个诸侯国心服;不杀害无辜之人,不放过有罪之人,就能得到百姓的信任;使有志之士得益,对有成就的官员给以奖赏,就能使土地竭尽其力;敬奉上天,敬畏神明,太阳月亮就会自然而然地运行;好好处理好刑罚问题,圣人就会自然到来;崇尚贤德的人,使有能力的人在有道之人的管理下各尽所能,官府就能管理好百姓。”

    孔子倡导凡事要以道义原则衡量是非取舍,切莫执着名利。在生活中遇到合于道义、应该做的事,就要勇敢地去做。孔子说:“君子之于天下也,无适也,无莫也,义之与比。”意思是君子对于天下之事,无所谓行,无所谓不行,一切行事只求合于义。

    (待续)


    油画:正念

    作者:归真

    【明慧网二零一四年五月二十四日】

    尺寸:115cmx100cm
    无论邪恶多么猖狂,无论环境如何变化,大法弟子对师尊的正信坚如磐石


    水粉画:珍重

    作者:石玉(化名)

    【明慧网二零一四年五月二十四日】

    尺寸:4开水粉纸


    绘画:藏字石示天意

    作者:大陆大法弟子

    【明慧网二零一四年五月二十四日】



    歌曲:送福音

    作曲/制作: 德国大法弟子 颜静芬;作词: 颜静芬;演唱:德国大法弟子

    【明慧网二零一四年五月二十四日】





    送福音
    法轮大法好 真善忍好
    九字吉言 九字是天道
    法轮大法好 真善忍好
    铭记在心 福星永常照

    法轮大法好 真善忍好
    九字吉言 九字是天宝
    法轮大法好 真善忍好
    喜得福音 吉祥有福报

    法轮大法好 真善忍好
    诚心诵念 避难平安保
    法轮大法好 真善忍好
    四海传诵 世界更美好

    法轮大法好 真善忍好
    九字吉言 九字是天道
    法轮大法好 真善忍好
    铭记在心 福星永常照

    法轮大法好 真善忍好
    法轮大法好 真善忍好



    笛子独奏:真相广传满人间

    作曲及笛子独奏:德国大法弟子 陈国华

    【明慧网二零一四年五月二十四日】



    右键点击下载(10.7MB)

    陶艺:莲

    作者:北京大法弟子迦叶

    【明慧网二零一四年五月二十四日】



    布贴画:净莲

    作者:黑龙江省鸡西地区大法弟子

    【明慧网二零一四年五月二十四日】



    明慧地方期刊(四川省、成都市、重庆市、广州市、河南省、武汉市、湖北省、廊坊市、伊春市、本溪市、牡丹江市、朝阳市、鹤岗市、湖南省、随州市、茂名市、双鸭山市、天津市、连云港市、大连市、齐齐哈尔市、合肥市)

    【明慧网二零一四年五月二十四日】

    明慧地方期刊(四川省、成都市、重庆市、广州市、河南省、武汉市、湖北省、廊坊市、伊春市、本溪市、牡丹江市、朝阳市、鹤岗市、湖南省、随州市、茂名市、双鸭山市、天津市、连云港市、大连市、齐齐哈尔市、合肥市)


    订阅请发空邮到:subscribe@minghui.org
    取消订阅请发空邮到:unsubscribe@minghui.org
    联系编辑或投稿请发电邮到:article@minghui.org 或 tougao@minghui.ca
    联系技术部请发电邮到:webteam@minghui.org